Skip to product information
1 of 3

CD200R Fc Chimera Protein, Cynomolgus

CD200R Fc Chimera Protein, Cynomolgus

Catalog Number: UA010521 Reactivity: Cynomolgus Conjugation: Unconjugated Brand: UA BIOSCIENCE
Price:
Regular price $604 USD
Regular price Sale price $604 USD
Size:
For shipping services or bulk orders, you may request a quotation.
Secure checkout with
View full details

Product Details

Product Specification


Species Cynomolgus
Antigen CD200R
Synonyms CRTR2, MOX2R, OX2R
Accession XP_005548208
Amino Acid Sequence

Ala27-Leu267, with C-terminal Human IgG Fc AAQSNNSLMLQTSKENHTLASNSLCMDEKQITQNHSKVLAEVNISWPVQMARNAVLCCPPIEFRNLIVITWEIILRGQPSCTKTYRKDTNETKETNCTDERITWVSTPDQNSDLQIHPVAITHDGYYRCIMATPDGNFHRGYHLQVLVTPEVTLFESRNRTAVCKAVAGKPAAQISWIPAGDCAPTEHEYWGNGTVTVKSTCHWEGHNVSTVTCHVSHLTGNKSLYIELLPVPGAKKSAKLIEGRMDPKSSDKTHTCPPCPAPELLGGPSVFLFPPKPKDTLMISRTPEVTCVVVDVSHEDPEVKFNWYVDGVEVHNAKTKPREEQYNSTYRVVSVLTVLHQDWLNGKEYKCKVSNKALPAPIEKTISKAKGQPREPQVYTLPPSRDELTKNQVSLTCLVKGFYPSDIAVEWESNGQPENNYKTTPPVLDSDGSFFLYSKLTVDKSRWQQGNVFSCSVMHEALHNHYTQKSLSLSPGK

Expression System HEK293
Molecular Weight 72-90kDa
Purity >95% by SDS-PAGE
Endotoxin <0.1EU/μg
Conjugation Unconjugated
Tag Human Fc
Physical Appearance Lyophilized Powder
Storage Buffer PBS, pH7.4
Reconstitution Reconstitute at 0.1-1 mg/ml according to the size in ultrapure water after rapid centrifugation.
Stability & Storage · 12 months from date of receipt, lyophilized powder stored at -20 to -80℃.
· 3 months, -20 to -80℃ under sterile conditions after reconstitution.
· 1 week, 2 to 8℃ under sterile conditions after reconstitution.
· Please avoid repeated freeze-thaw cycles.
Reference

1. Rosenblum, M.D. et al. (2006) J. Dermatol. Sci. 41:165. 2. Gorczynski, R.M. (2005) Curr. Opin. Invest. Drugs 6:483. 3. Barclay, A.N. et al. (2002) Trends Immunol. 23:285.

Background

CD200 R1, also known as OX-2 receptor, is a 90 kDa, type I transmembrane protein that belongs to the immunoglobulin superfamily. CD200 R1 is important in the regulation of myeloid cell activity.CD200 and its receptor CD200R are both type-1 membrane glycoproteins, which are members of the immunoglobulin superfamily (IgSF). Besides the inhibitory effect on macrophages, CD200/CD200R also play an important role in regulating the regulatory T cells, allergic reaction, autoimmune diseases, allograft, neurological diseases and other autoimmune-related diseases. The interaction between CD200, which is mainly present in neurons but also in astrocytes, and CD200R1, which is mainly present in microglia, is one of the mechanisms involved in keeping the microglial proinflammatory phenotype under control in physiological conditions. Limits inflammation by inhibiting the expression of pro-inflammatory molecules including TNF-alpha, interferons, and inducible nitric oxide synthase (iNOS) in response to selected stimuli.

Picture

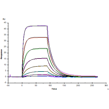
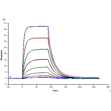
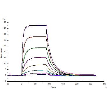
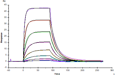
Bioactivity

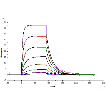
Protein A Chip captured CD200R Fc Chimera, Cynomolgus (Cat. No. UA010521), can bind CD200 His Tag, Human (Cat. No. UA010545) with an affinity constant of 63.87nM as determined in SPR assay.

Immobilized CD200 His Tag, Human (Cat. No. UA010545) at 2.0μg/mL (100μL/well) can bind CD200R Fc Chimera, Cynomolgus (Cat. No. UA010521) with EC50 of 0.0066-0.0092μg/ml.

SDS-PAGE

1μg (R: reducing conditions, N: non-reducing conditions).

Customer Reviews

Be the first to write a review
0%
(0)
0%
(0)
0%
(0)
0%
(0)
0%
(0)