Skip to product information
1 of 3

CD200 Fc Chimera Protein, Human

CD200 Fc Chimera Protein, Human

Catalog Number: UA010512 Reactivity: Human Conjugation: Unconjugated Brand: UA BIOSCIENCE
Price:
Regular price $594 USD
Regular price Sale price $594 USD
Size:
For shipping services or bulk orders, you may request a quotation.
Secure checkout with
View full details

Product Details

Product Specification


Species Human
Antigen CD200
Synonyms MOX1, MOX2, MRC, OX-2, My033
Accession P41217
Amino Acid Sequence

Gln31-Gly232, with C-terminal Human IgG Fc QVQVVTQDEREQLYTPASLKCSLQNAQEALIVTWQKKKAVSPENMVTFSENHGVVIQPAYKDKINITQLGLQNSTITFWNITLEDEGCYMCLFNTFGFGKISGTACLTVYVQPIVSLHYKFSEDHLNITCSATARPAPMVFWKVPRSGIENSTVTLSHPNGTTSVTSILHIKDPKNQVGKEVICQVLHLGTVTDFKQTVNKGIEGRMDPKSSDKTHTCPPCPAPELLGGPSVFLFPPKPKDTLMISRTPEVTCVVVDVSHEDPEVKFNWYVDGVEVHNAKTKPREEQYNSTYRVVSVLTVLHQDWLNGKEYKCKVSNKALPAPIEKTISKAKGQPREPQVYTLPPSRDELTKNQVSLTCLVKGFYPSDIAVEWESNGQPENNYKTTPPVLDSDGSFFLYSKLTVDKSRWQQGNVFSCSVMHEALHNHYTQKSLSLSPGK

Expression System HEK293
Molecular Weight 60-72kDa
Purity >95% by SDS-PAGE
Endotoxin <0.1EU/μg
Conjugation Unconjugated
Tag Human Fc
Physical Appearance Lyophilized Powder
Storage Buffer PBS, pH7.4
Reconstitution Reconstitute at 0.1-1 mg/ml according to the size in ultrapure water after rapid centrifugation.
Stability & Storage · 12 months from date of receipt, lyophilized powder stored at -20 to -80℃.
· 3 months, -20 to -80℃ under sterile conditions after reconstitution.
· 1 week, 2 to 8℃ under sterile conditions after reconstitution.
· Please avoid repeated freeze-thaw cycles.
Reference

1. Barclay A.N., Wright G.J., Brooke G., Brown M.H. CD200 and membrane protein interactions in the control of myeloid cells. Trends Immunol. 2002; 23:285-290.
2. Wright G.J., Puklavec M.J., Willis A.C., Hoek R.M., Sedgwick J.D., Brown M.H., Barclay A.N. Lymphoid/Neuronal cell surface OX2 glycoprotein recognizes a novel receptor on macrophages implicated in the control of their function. Immunity. 2000; 13:233-242.
3. Moreaux J., Veyrune J.L., Reme T., De Vos J., Klein B. CD200, A putative therapeutic target in cancer. Biochem. Biophys. Res. Commun. 2008;366:117-122.
4. Barclay A.N. Different reticular elements in rat lymphoid tissue identified by localization of IA, Thy-1 and MRC OX-2 antigens. Immunology. 1981;44:727-736.

Background

CD200 is a type-1 cell membrane glycoprotein of the immunoglobulin supergene family, present on both cells with myeloid/lymphoid origin as well as on epithelial cells and many cancer cells. CD200, also known as MRC OX-2, is a highly conserved, 48 kDa type 1a transmembrane glycoprotein related structurally to the B7 family of costimulatory receptors.The molecule itself consists of an IgSF extracellular domain (single V+C), a single transmembrane region and a short cytoplasmic tail lacking signaling motifs. The molecule is expressed by resting dendritic cells, thymocytes, endothelial cells, neurons and osteoblast precursors (OBp), as well as by activated B and T cells (including αβTCR+ and most γδTCR+ cells). CD200 interacts with a structurally related receptor (CD200R) expressed mainly on myeloid cells and is involved in regulation of macrophage and mast cell function. OX-2 / CD200 and CD200R associate via their respective N-terminal Ig-like domains. CD200 also plays an important role in prevention of graft rejection, autoimmune diseases and spontaneous abortion.

Picture

SDS-PAGE

1μg (R: reducing conditions, N: non-reducing conditions).

ELISA

Immobilized CD200R His Tag, Human (Cat. No. UA010500) at 0.5μg/mL (100μL/well) can bind CD200 Fc Chimera, Human (Cat. No. UA010512) with EC50 of 2.29-3.65ng/ml.

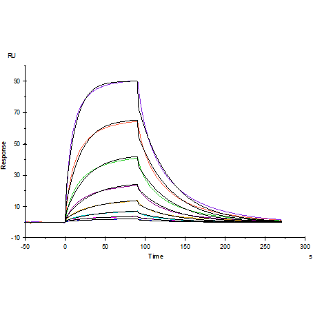
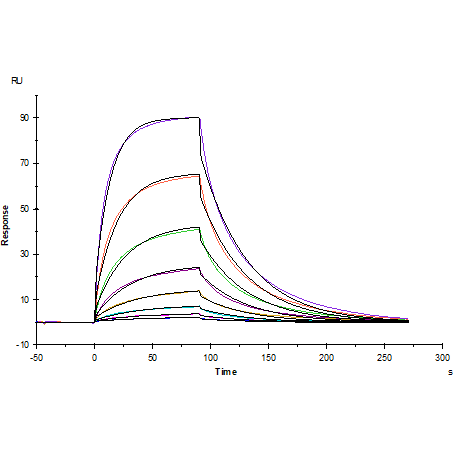
SPR

Protein A Chip captured CD200 Fc Chimera, Human (Cat. No. UA010512), can bind CD200R His Tag, Human(Cat. No. UA010500) with an affinity constant of 29.98nM as determined in SPR assay.

Customer Reviews

Be the first to write a review
0%
(0)
0%
(0)
0%
(0)
0%
(0)
0%
(0)