Measured in a cell proliferation assay using Murine M-NFS-60 cells, The EC50 for this effect is less than 0.5ng/ml.
Product Details
Product Details
Product Specification
Species | Mouse |
Synonyms | IL-3, MCGF, MULTI-CSF |
Accession | P01586 |
Amino Acid Sequence | Asp33-Cys166 |
Expression System | E.coli |
Molecular Weight | 16kDa |
Purity | >95% by SDS-PAGE |
Endotoxin | <1EU/μg |
Conjugation | Unconjugated |
Tag | No Tag |
Physical Appearance | Lyophilized Powder |
Storage Buffer | PBS, pH7.4 |
Reconstitution | Reconstitute at 0.1-1 mg/ml according to the size in ultrapure water after rapid centrifugation. |
Stability & Storage |
· 12 months from date of receipt, lyophilized powder stored at -20 to -80℃. · 3 months, -20 to -80℃ under sterile conditions after reconstitution. · 1 week, 2 to 8℃ under sterile conditions after reconstitution. · Please avoid repeated freeze-thaw cycles. |
Reference |
1、Gröger M. et al. (2004) IL-3 induces expression of lymphatic markers Prox-1 and podoplanin in human endothelial cells. J Immunol. 173(12): 7161-7169. 2、Hawwari A. et al. (2002) The human IL-3 locus is regulated cooperatively by two NFAT-dependent enhancers that have distinct tissue-specific activities. J Immunol. 169(4): 1876-1886. |
Background
IL3 (interleukin 3), also known as IL-3, is a potent growth-promoting cytokine that belongs to the IL-3 family. Interleukin-3 is a cytokine that regulates the proliferation, differentiation, activation, and survival of myeloid progenitor cells and the mast cells, eosinophils, basophils, neutrophils, monocytes, megakaryocytes, and erythroid cells that they give rise to (1–3). Although IL-3 was first defined as a CSF (multi-CSF), it is not essential to hemopoiesis, and it may function in vivo pre dominantly as a proinflammatory cytokine activating mature myeloid cells. The IL-3 gene exists within a one megabase conserved cytokine gene cluster that also contains the genes for IL-4, IL-5, IL-13, and GM-CSF. IL3/IL-3 has been shown to also possess neurotrophic activity, and it may be associated with neurologic disorders.
Picture
Picture
Bioactivity

SDS-PAGE

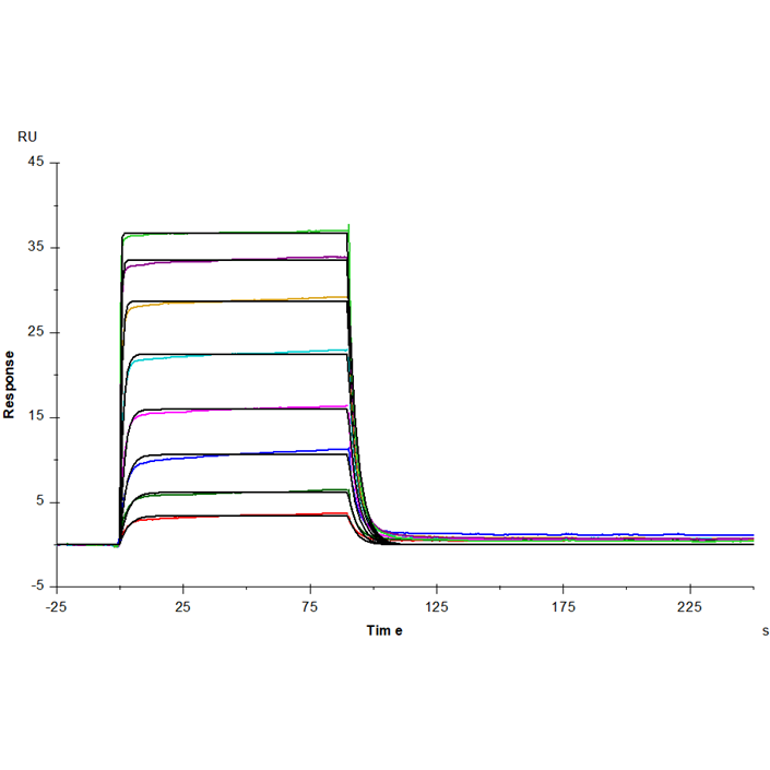
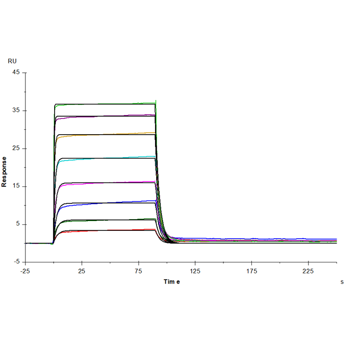
SPR

IL-3 Rα/CD123 Fc Chimera, Mouse (Cat. No. UA010122) captured on Protein A Biosenor, can bind IL-3, Mouse (Cat. No. UA040064) with an affinity constant of 0.17 μM as determined in SPR assay.

Anti-His antibody Immobilized on CM5 Chip captured IL-3 Rα/CD123 His Tag, Mouse (Cat. No. UA010113), can bind IL-3, Mouse (Cat. No. UA040064) with an affinity constant of 0.16μM as determined in SPR assay.



