Skip to product information
1 of 2

IFN-α 2a Protein, Human

IFN-α 2a Protein, Human

Catalog Number: UA040038 Reactivity: Human Conjugation: Unconjugated Brand: UA BIOSCIENCE
Price:
Regular price $100 USD
Regular price Sale price $100 USD
Size:
For shipping services or bulk orders, you may request a quotation.
Secure checkout with
View full details

Product Details

Product Specification


Species Human
Synonyms Leukocyte interferon. B cell interferon, Type I interferon, IFNA2, IFN-a 2a
Accession P01563
Amino Acid Sequence

Cys24-Glu188

Expression System E.coli
Molecular Weight

17 kDa (Reducing)

Purity >95% by SDS-PAGE and HPLC.
Conjugation Unconjugated
Tag No Tag
Physical Appearance Lyophilized Powder
Storage Buffer

20mM Tris, 150mM NaCl, pH8.0

Reconstitution

Reconstitute at 0.1-1 mg/ml according to the size in ultrapure water after rapid centrifugation.

Stability & Storage

·12 months from date of receipt, lyophilized powder stored at -20 to -80℃.
·3 months, -20 to -80℃ under sterile conditions after reconstitution.
·1 week, 2 to 8℃ under sterile conditions after reconstitution.
·Please avoid repeated freeze-thaw cycles.

Reference

Cytokine. 2011 Jan;53(1):52-9.

Background

IFN-α is a cytokine that has an immunomodulatory function. It plays an important role not only in antiviral activity but also in several physiologic functions, such as activation of dendritic cells and accelerated expression of major histocompatibility complex I and II molecules that may cause increased antigen presentation. Variants of human leukocyte interferon α 2 (IFN-α 2a, α 2b, and α 2c) differ from each other by changes in their coding regions at nucleotide positions 137 and 170. IFN-α 2a is an important cytokine and used for antiviral and anticancer treatment.

Picture

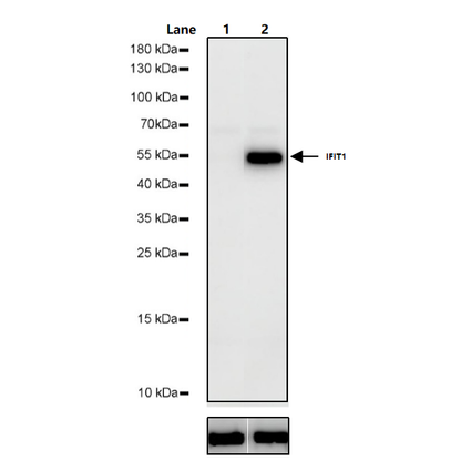
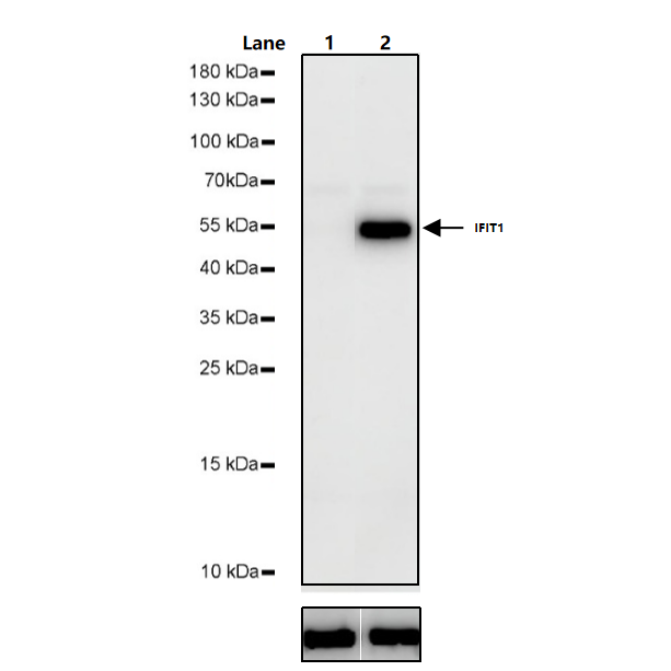
Western Blot

Primary antibody: IFIT1 Recombinant Rabbit mAb (S0B1242) at 1/1000 dilution

Lane 1: untreated HeLa whole cell lysate 20 µg

Lane 2: HeLa treated with 10 ng/ml IFN-α 2a(UA040038) for 16 hours whole cell lysate 20 µg

Secondary antibody: Goat Anti-rabbit IgG, (H+L), HRP conjugated at 1/10000 dilution

Predicted MW: 55 kDa

Observed MW: 58 kDa

Bioactivity

Measured in anti-viral assays using HeLa human cervical epithelial carcinoma cells infected with encephalomyocarditis (EMC) virus. The EC50 for this effect is less than 0.2 ng/ml.

Measured by a cytotoxicity assay using TF-1 Cells. The EC50 for this effect is less than 1ng/ml.

SDS-PAGE

2μg (R: reducing condition, N: non-reducing condition).

RP-HPLC

>95% determined by RP-HPLC.

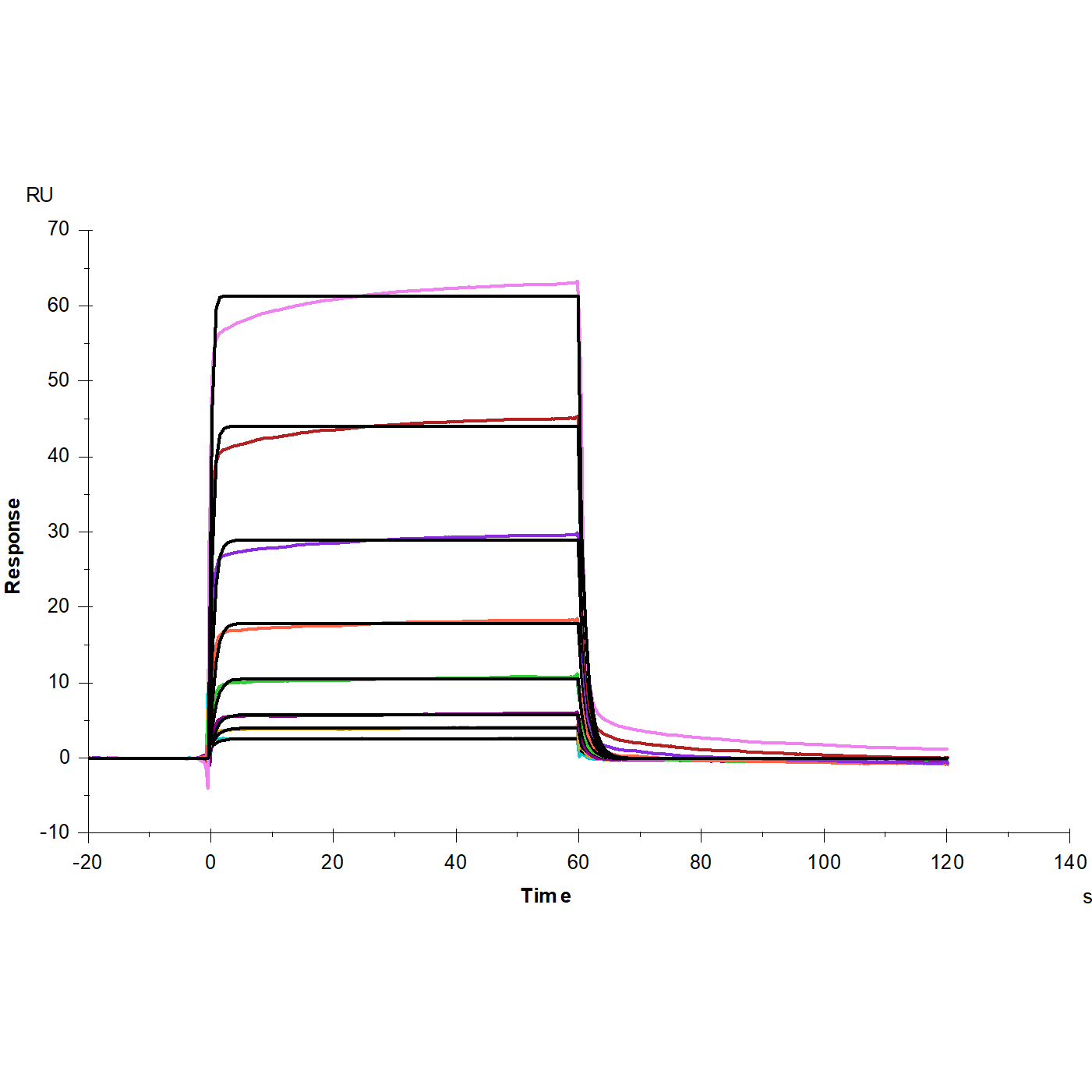
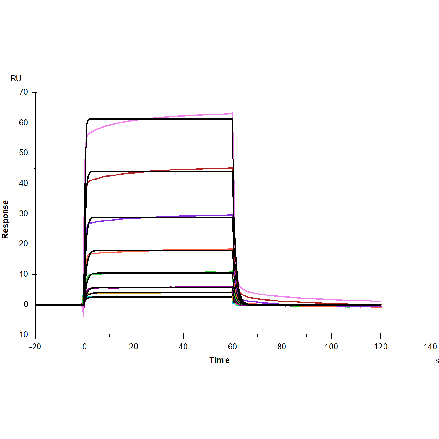
SPR

Protein A Chip captured IFN-alpha/beta R1 Fc Chimera Protein, Human (Cat. No. UA011186), can bind IFN-α 2a Protein, Human (Cat. No. UA040038) with an affinity constant of 1.30μM as determined in SPR assay.

Customer Reviews

Be the first to write a review
0%
(0)
0%
(0)
0%
(0)
0%
(0)
0%
(0)