Product Details
Product Details
Product Specification
Species | Human |
Synonyms | CD160, BY55, NK1, NK28 |
Accession | O95971 |
Amino Acid Sequence | Ile27-Ser159, with C-terminal 8 * His INITSSASQEGTRLNLICTVWHKKEEAEGFVVFLCKDRSGDCSPETSLKQLRLKRDPGIDGVGEISSQLMFTISQVTPLHSGTYQCCARSQKSGIRLQGHFFSILFTETGNYTVTGLKQRQHLEFSHNEGTLSGGGSHHHHHHHH |
Expression System | HEK293 |
Molecular Weight | 23-27kDa |
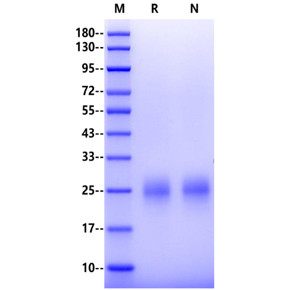
Purity | >95% by SDS-PAGE |
Endotoxin | <0.1EU/μg |
Conjugation | Unconjugated |
Tag | His Tag |
Physical Appearance | Lyophilized Powder |
Storage Buffer | PBS, pH7.4 |
Reconstitution | Reconstitute at 0.1-1 mg/ml according to the size in ultrapure water after rapid centrifugation. |
Stability & Storage | · 12 months from date of receipt, lyophilized powder stored at -20 to -80℃. · 3 months, -20 to -80℃ under sterile conditions after reconstitution. · 1 week, 2 to 8℃ under sterile conditions after reconstitution. · Please avoid repeated freeze-thaw cycles. |
Reference |
1、Barakonyi A. et al. (2004) Cutting edge: Engagement of CD160 by its HLA-c physiological ligand triggers a unique cytokine profile secretion in the cytotoxic peripheral blood NK cell subset. J Immunol. 173: 5349-5354. 2、He W. et al. (2019) Aberrant expressions of Co-stimulatory and Co-inhibitory molecules in autoimmune diseases. Front Immunol. 10: 261. 3、Zhang L. et al. (2020) CD160 plays a protective role during chronic infection by enhancing both functionalities and proliferative capacity of CD8+ T cells. Front Immunol. 11: 2188. |
Background
CD160 is expressed in NK cells, CD8+ T cells, TCRαβ+ and TCRγδ+ intraepithelial lymphocytes in the intestine, and skin resident CD4+ CD8αα+ cytotoxic T cells that stimulates effector function following engagement by its ligands. Engagement of CD160 recruits PI3K to activate the lytic cascade. CD160 is a promiscuous receptor that binds a variety of ligands including MHC class 1a and 1b molecules HLA-C, soluble HLA-G, HLA-A2, HLA-B7, and HLA-E, as well as the herpesvirus entry mediator protein. It plays a crucial role in the activation of NK-cell cytotoxicity and cytokine production. It also modulates the immune system and is involved in some pathologies, such as cancer. CD160 is also expressed by some subsets of T cells and activated endothelial cells, in which it regulates cell activation and apoptosis, respectively. Thus, CD160 is involved in antitumor immunity and protection during chronic infections. CD160 has been reported to be involved in the development of some pathologies, including autoimmune diseases, inflammatory diseases, atherosclerosis, retinal vascular diseases, chronic viral infections, and cancer.
Picture
Picture
SDS-PAGE

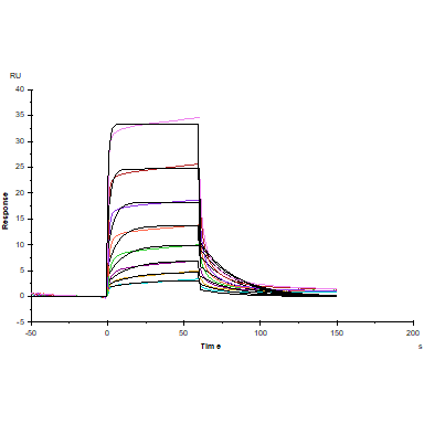
Molecular Interaction

Protein A Chip captured HVEM/TNFRSF14 Fc Chimera, Human (Cat. No. UA010664), can bind CD160 His Tag, Human (Cat. No. UA010341) with an affinity constant of 0.56μM as determined in SPR assay.

