Product Details
Product Details
Product Specification
Species | Human |
Accession | P35968 |
Amino Acid Sequence |
Ala20-Glu764, with C-terminal Human IgG1 Fc ASVGLPSVSLDLPRLSIQKDILTIKANTTLQITCRGQRDLDWLWPNNQSGSEQRVEVTECSDGLFCKTLTIPKVIGNDTGAYKCFYRETDLASVIYVYVQDYRSPFIASVSDQHGVVYITENKNKTVVIPCLGSISNLNVSLCARYPEKRFVPDGNRISWDSKKGFTIPSYMISYAGMVFCEAKINDESYQSIMYIVVVVGYRIYDVVLSPSHGIELSVGEKLVLNCTARTELNVGIDFNWEYPSSKHQHKKLVNRDLKTQSGSEMKKFLSTLTIDGVTRSDQGLYTCAASSGLMTKKNSTFVRVHEKPFVAFGSGMESLVEATVGERVRIPAKYLGYPPPEIKWYKNGIPLESNHTIKAGHVLTIMEVSERDTGNYTVILTNPISKEKQSHVVSLVVYVPPQIGEKSLISPVDSYQYGTTQTLTCTVYAIPPPHHIHWYWQLEEECANEPSQAVSVTNPYPCEEWRSVEDFQGGNKIEVNKNQFALIEGKNKTVSTLVIQAANVSALYKCEAVNKVGRGERVISFHVTRGPEITLQPDMQPTEQESVSLWCTADRSTFENLTWYKLGPQPLPIHVGELPTPVCKNLDTLWKLNATMFSNSTNDILIMELKNASLQDQGDYVCLAQDRKTKKRHCVVRQLTVLERVAPTITGNLENQTTSIGESIEVSCTASGNPPPQIMWFKDNETLVEDSGIVLKDGNRNLTIRRVRKEDEGLYTCQACSVLGCAKVEAFFIIEGAQEKTNLEIEGRMDPKSSDKTHTCPPCPAPELLGGPSVFLFPPKPKDTLMISRTPEVTCVVVDVSHEDPEVKFNWYVDGVEVHNAKTKPREEQYNSTYRVVSVLTVLHQDWLNGKEYKCKVSNKALPAPIEKTISKAKGQPREPQVYTLPPSRDELTKNQVSLTCLVKGFYPSDIAVEWESNGQPENNYKTTPPVLDSDGSFFLYSKLTVDKSRWQQGNVFSCSVMHEALHNHYTQKSLSLSPGK |
Expression System | HEK293 |
Molecular Weight | 120-140kDa (Reducing) |
Purity | >95% by SDS-PAGE |
Endotoxin | <0.1EU/μg |
Conjugation | Unconjugated |
Tag | Human Fc Tag |
Physical Appearance | Lyophilized Powder |
Storage Buffer | PBS, pH7.4 |
Reconstitution | Reconstitute at 0.1-1 mg/ml according to the size in ultrapure water after rapid centrifugation. |
Stability & Storage | · 12 months from date of receipt, lyophilized powder stored at -20 to -80℃. · 3 months, -20 to -80℃ under sterile conditions after reconstitution. · 1 week, 2 to 8℃ under sterile conditions after reconstitution. · Please avoid repeated freeze-thaw cycles. |
Background
Vascular endothelial cell growth factor (VEGF) and VEGF receptor 2 (VEGF-R2) are closely related to angiogenesis in glioma. A number of phosphorylated sites, such as Y801, Y951, Y1175, and Y1214 in the VEGF-R2 intracellular domains mediate critical signal transductions, including PI3K/AKT, MAPK, and PKC pathways. Main functions of VEGF-R2 include increasing the expression of VEGF and inducing tumor angiogenesis. In addition, VEGF plays a role in promoting vascular endothelial cell division and angiogenesis through VEGF-R2 and is also involved in promoting the aggressive growth of tumors. In the kidney, VEGF is almost exclusively expressed in glomerular and tubular epithelial cells, while the VEGF-R2 is mainly present in glomerular and tubular endothelial cells, as well as in interstitial cells. The present study shows that VEGF-R2 overexpression in advanced thyroid cancer maintains cancer malignancy and cell survival. Thus, selective targeting of VEGFR2/KDR signaling may be a potential strategy for advanced thyroid cancer treatment.
Picture
Picture
SDS-PAGE

ELISA

Immobilized VEGF165, Human (Cat. No. UA040019) at 0.5μg/mL (100μL/well) can bind VEGF-R2/KDR Fc Chimera, Human (Cat. No. UA010144) with EC50 of 0.020-0.038μg/ml.

Immobilized VEGF-121, Human (Cat. No. UA040082) at 2.0μg/mL (100μL/well) can bind VEGF-R2/KDR Fc Chimera, Human (Cat. No. UA010144) with EC50 of 8.25-11.55ng/mL.
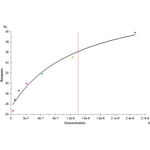
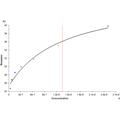
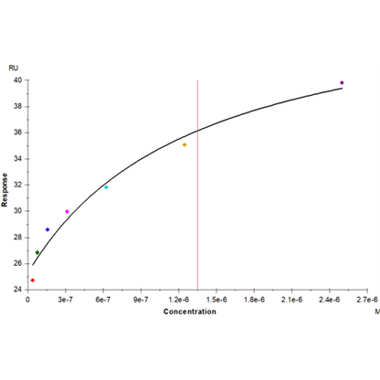
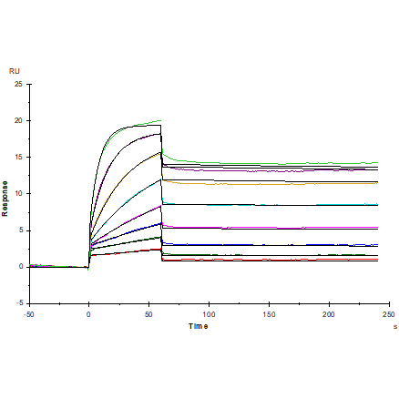
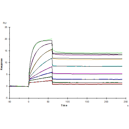
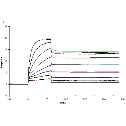
SPR

VEGF-R2/KDR Fc Chimera, Human (Cat. No. UA010144) captured on Protein A Biosenor, can bind VEGF165, Human (Cat. No. UA040019) with an affinity constant of 1.35 μM as determined in SPR assay.

Protein A Chip captured VEGF-R2/KDR Fc Chimera, Human (Cat. No. UA010144), can bind VEGF-121, Human (Cat. No. UA040082) with an affinity constant of 75.40pM as determined in SPR assay.




