Product Details
Product Details
Product Specification
| Species | Human |
| Synonyms | APO2Ltumor necrosis factor apoptosis-inducing ligand splice variant delta, CD253 antigen, CD253, Protein TRAIL, TL2, TNF-related apoptosis-inducing ligand, TNFSF10 |
| Amino Acid Sequence | Val 114-Gly281 |
| Expression System | E.coli |
| Molecular Weight | 19-20kDa (Reducing) |
| Purity | >95% by SDS-PAGE & RP-HPLC |
| Endotoxin | <1EU/μg |
| Conjugation | Unconjugated |
| Tag | No Tag |
| Physical Appearance | Lyophilized Powder |
| Storage Buffer | 20mM Tris, 150mM NaCl, 1mM TCEP, pH8.0 |
| Reconstitution | Reconstitute at 0.1-1 mg/ml according to the size in ultrapure water after rapid centrifugation. |
| Stability & Storage |
· 12 months from date of receipt, lyophilized powder stored at -20 to -80℃. · 3 months, -20 to -80℃ under sterile conditions after reconstitution. · 1 week, 2 to 8℃ under sterile conditions after reconstitution. · Please avoid repeated freeze-thaw cycles. |
Background
Tumor necrosis factor-related apoptosis-inducing ligand (TRAIL), also known as CD253 or TNFSF10, can be produced and secreted by most normal tissue cells. TRAIL proteins are available in two forms: membrane-bound (full-length TRAIL) and soluble (sTRAIL). In vivo, only the membrane-bound form exists, while the soluble polypeptide (sTRAIL), which is formed in the extracellular region of TRAIL, has the full biological activity of the membrane-bound TRAIL. Both of them are able to bind to specific receptors on the cell membrane and rapidly induce the expression of TRAIL through intracellular signal transduction. They can rapidly induce apoptosis in cells expressing TRAIL-specific receptors. TRAIL has a broad spectrum of action and can induce apoptosis in a variety of tumor cells in the colon, lung, breast, kidney, brain and skin, and is considered as a promising broad-spectrum anti-cancer molecule.
Picture
Picture
Bioactivity

SDS-PAGE

RP-HPLC

ELISA

Immobilized TRAIL/Apo2L, Human (Cat. No. UA040039) at 2.0μg/mL (100μL/well) can bind TRAIL R1/TNFRSF10A Fc Chimera, Human (Cat. No. UA010630) with EC50 of 3.51-5.40 ng/mL.
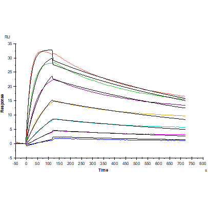
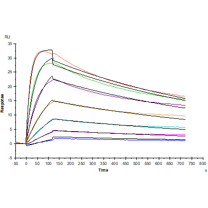
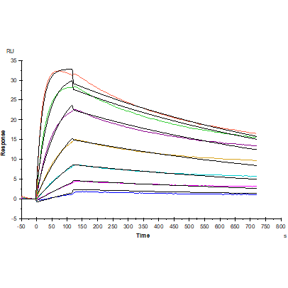
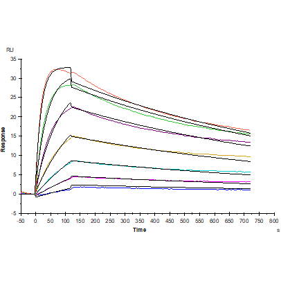
SPR

Anti-His antibody Immobilized on CM5 Chip captured TNFRSF10B/TRAIL R2 His Tag, Mouse (Cat. No. UA010509), can bind TRAIL/Apo2L, Human (Cat. No. UA040039) with an affinity constant of 4.67nM as determined in SPR assay.
