Immobilized TRAIL/Apo2L, Human (Cat. No. UA040039) at 2.0μg/mL (100μL/well) can bind TRAIL R1/TNFRSF10A Fc Chimera, Human (Cat. No. UA010630) with EC50 of 3.51-5.40 ng/mL.
Product Details
Product Details
Product Specification
Species | Human |
Synonyms | Death receptor 4TRAIL receptor 1; TRAIL-R1; TNFRSF10A |
Accession | O00220 |
Amino Acid Sequence | Ala109-Asn239, with C-terminal Human IgG1 Fc |
Expression System | HEK293 |
Molecular Weight | 44-49kDa (Reducing) |
Purity | >95% by SDS-PAGE |
Endotoxin | <0.1EU/μg |
Conjugation | Unconjugated |
Tag | Human Fc Tag |
Physical Appearance | Lyophilized Powder |
Storage Buffer | PBS, pH7.4. |
Reconstitution | Reconstitute at 0.1-1 mg/ml according to the size in ultrapure water after rapid centrifugation. |
Stability & Storage | · 12 months from date of receipt, lyophilized powder stored at -20 to -80℃. · 3 months, -20 to -80℃ under sterile conditions after reconstitution. · 1 week, 2 to 8℃ under sterile conditions after reconstitution. · Please avoid repeated freeze-thaw cycles. |
Reference | Feoktistova M, Geserick P, Panayotova-Dimitrova D, Leverkus M. Pick your poison: the Ripoptosome, a cell death platform regulating apoptosis and necroptosis. Cell Cycle. 2012; 11:460–7. |
Background
TNFSFR10A, also known as death receptor 4, DR4, and TNF-related apoptosis-inducing ligand receptor 1, TRAIL-R1, is a member of the TNF receptor superfamily. TNFSFR10A can be expressed by spleen, peripheral blood leukocytes, small intestine and thymus,but also in K-562 erythroleukemia cells, MCF-7 breast carcinoma cells and activated T-cells. TNFSFR10A encodes a cell surface receptor involved in apoptotic, necroptotic, and inflammatory cell-signaling pathways. TNFRSF10A serves as a receptor for the cytokine TNF-related apoptosis-inducing ligand (TRAIL) in death receptor signaling pathways and has also been shown to be involved in the activation of NFκβ inflammatory signaling pathways.
Picture
Picture
Bioactivity

SDS-PAGE
1μg (R: reducing condition, N: non-reducing condition).
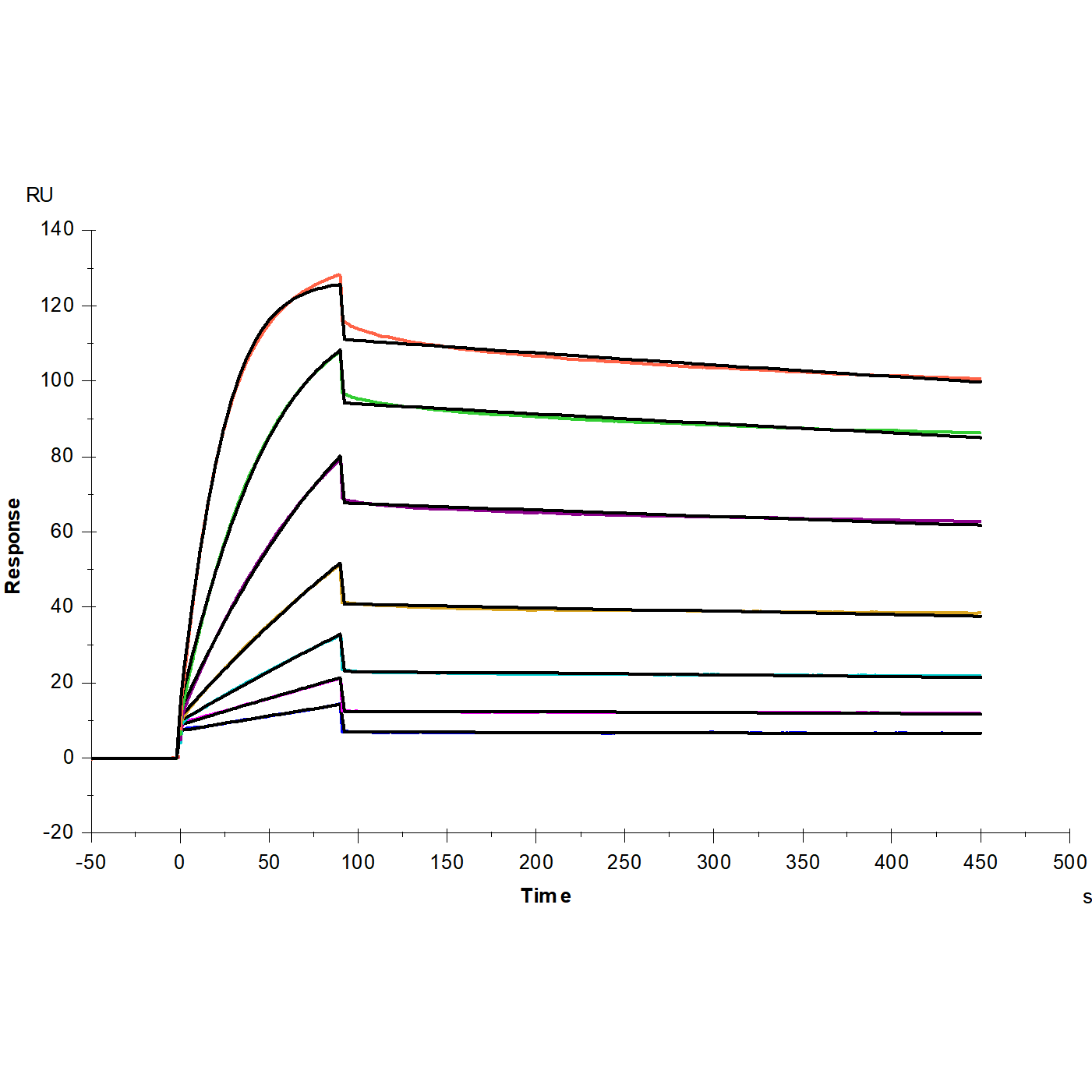
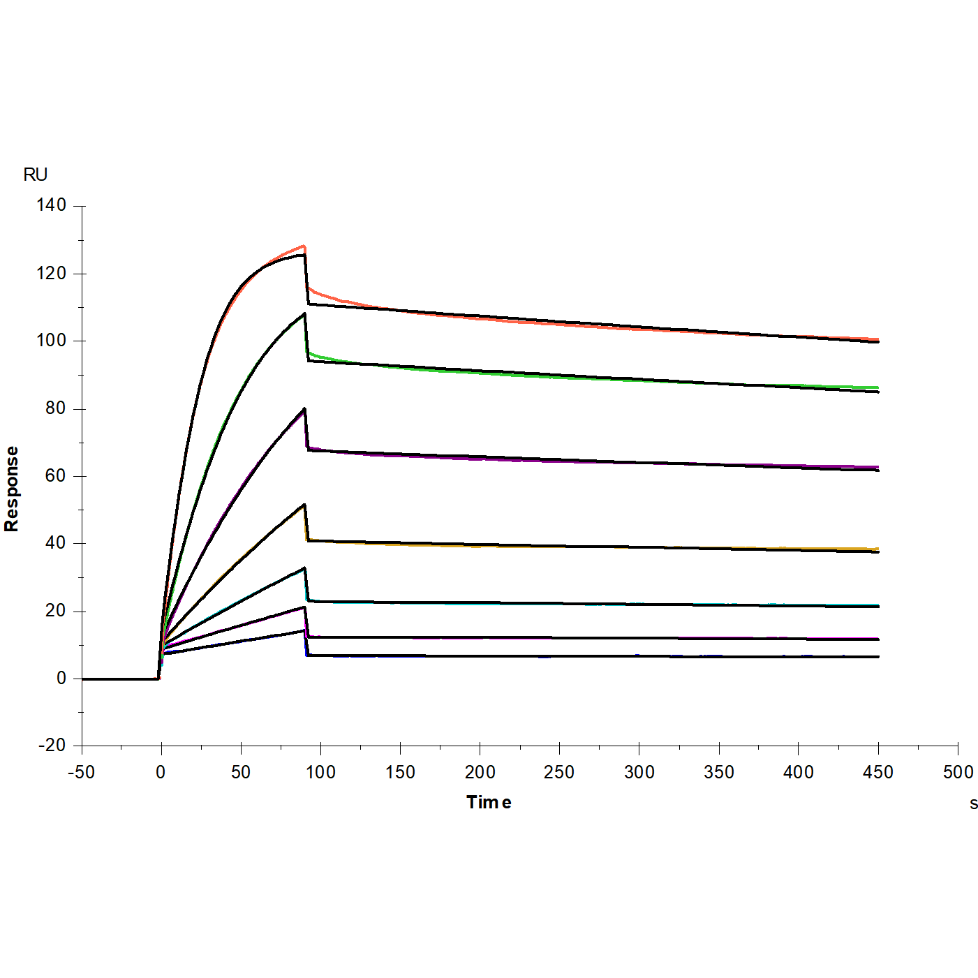
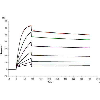
SPR

Protein A Chip captured TRAIL R1/TNFRSF10A Fc Chimera, Human (Cat. No. UA010630), can bind TRAIL/Apo2L, Human (Cat. No. UA040039) with an affinity constant of 0.34nM as determined in SPR assay.

