Product Details
Product Details
Product Specification
| Species | Mouse |
| Synonyms | TNF-α, TNF-alpha, Tumor necrosis factor ligand superfamily member 2, TNF-a, Cachectin, DIF, TNFA, TNFSF2 |
| Accession | P06804 |
| Amino Acid Sequence | Leu80-Leu235 |
| Expression System | E.coli |
| Molecular Weight | 17kDa |
| Purity | >95% by SDS-PAGE |
| Endotoxin | <1EU/μg |
| Conjugation | Unconjugated |
| Tag | No Tag |
| Physical Appearance | Lyophilized Powder |
| Storage Buffer | PBS, pH7.4, 1mM TCEP |
| Reconstitution | Reconstitute at 0.1-1 mg/ml according to the size in ultrapure water after rapid centrifugation. |
| Stability & Storage |
· 12 months from date of receipt, lyophilized powder stored at -20 to -80℃. · 3 months, -20 to -80℃ under sterile conditions after reconstitution. · 1 week, 2 to 8℃ under sterile conditions after reconstitution. · Please avoid repeated freeze-thaw cycles. |
| Reference |
1、Hector J. et al. (2007) TNF-alpha alters visfatin and adiponectin levels in human fat. Horm Metab Res. 39(4): 250-255. 2、Berthold-Losleben M. et al. (2008) The TNF-alpha System: Functional Aspects in Depression, Narcolepsy and Psychopharmacology. Curr Neuropharmacol. 6(3): 193-202. |
Background
Tumor Necrosis Factor alpha (TNF-α), is an inflammatory cytokine produced by macrophages/monocytes during acute inflammation and is responsible for a diverse range of signaling events within cells, leading to necrosis or apoptosis. TNF alpha exerts many of its effects by binding to either a 55 kDa cell membrane receptor termed. TNFα activates signals through two receptors, TNF-R1, which is expressed on most cell types, and TNF-R2, which is expressed mainly on immune cells. TNFα can have many functions including, to stimulate of phagocytosis in macrophages, to chemoattract neutrophils, to increase insulin resistance and to induce fever.
Picture
Picture
Bioactivity

SDS-PAGE

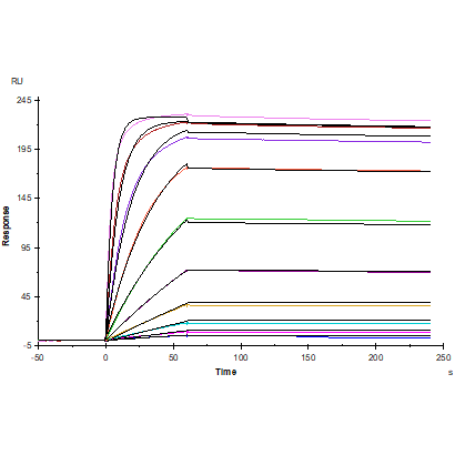
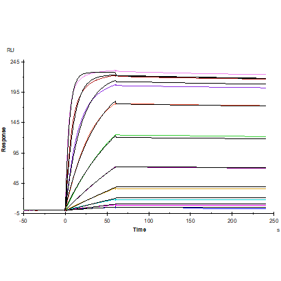
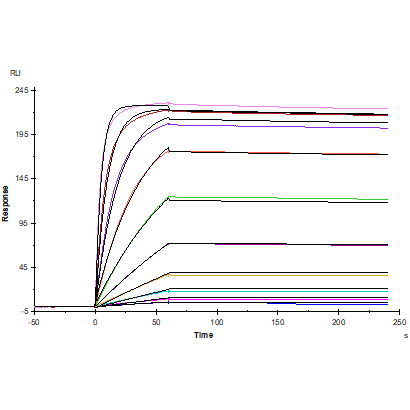
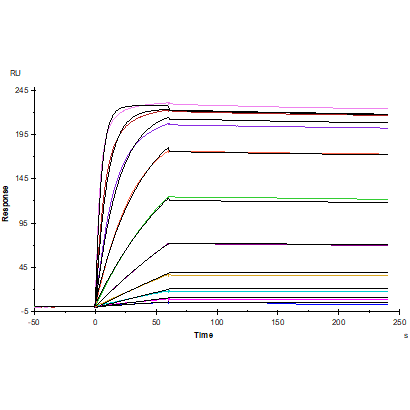
SPR

Protein A Chip captured TNFR-1/CD120a Fc Chimera, Human (Cat. No. UA040030), can bind TNF-α (80-235aa), Mouse (Cat. No. UA040059) with an affinity constant of 0.27nM as determined in SPR assay.

Anti-His antibody Immobilized on CM5 Chip captured TNFR-1/CD120a His Tag, Human (Cat. No. UA040028), can bind TNF-α(80-235aa), Mouse (Cat. No. UA040059) with an affinity constant of 1.24 nM as determined in SPR assay.
