Product Details
Product Details
Product Specification
Species | Human |
Synonyms | TIGIT Fc Chimera protein;T-cell immunoreceptor with Ig and ITIM domains, V-set and immunoglobulin domain-containing protein 9, V-set and transmembrane domain-containing protein 3, Tigit, VSIG9, VSTM3 |
Accession | Q495A1 |
Amino Acid Sequence | Met22-Pro141, with C-terminal Human IgG Fc |
Expression System | HEK293 |
Molecular Weight | 45-49KDa(Reducing) |
Purity | >95%, by SDS-PAGE under reducing conditions |
Endotoxin | <0.1EU/μg |
Conjugation | Unconjugated |
Tag | Human Fc Tag |
Physical Appearance | Lyophilized Powder |
Storage Buffer | PBS pH7.2, 5% trehalose |
Reconstitution | Reconstitute at less than 1 mg/mL according to the size in ultrapure water after rapid centrifugation . |
Stability & Storage | · 12 months from date of receipt, lyophilized powder stored at -20 to -80℃. · 3 months, -20 to -80℃ under sterile conditions after reconstitution. · 1 week, 2 to 8℃ under sterile conditions after reconstitution. · Please avoid repeated freeze-thaw cycles. |
Background
T-cell immunoreceptor with Ig and ITIM domains (TIGIT), also known as VSIG9, VSTM3, and WUCAM, is a member of the poliovirus receptor family of immunoglobulin proteins. TIGIT is expressed at low levels on subsets of T cells and NK cells, and is upregulated at the protein level following activation of these cells . TIGIT marks exhausted T cells in the tumor microenvironment and during human immunodeficiency virus (HIV) infection . Research has shown TIGIT interacts with several receptors expressed on antigen presenting cells, such as dendritic cells and macrophages, as well as tumor cells and cells of the microenvironment. TIGIT binds with high affinity to PVR/CD155, and with low affinity to Nectin-2/CD112 and Nectin-3/CD113 . Upon binding to its ligands, TIGIT suppresses T cell activation, and inhibits T and NK cell cytotoxicity. This inhibition can be blocked using monoclonal antibodies directed at the extracellular domain of TIGIT, resulting in rejuvenated antigen-specific CD8+ T cell responses in tumors and during HIV infection . Three potential isoforms of TIGIT have been computationally mapped .
Picture
Picture
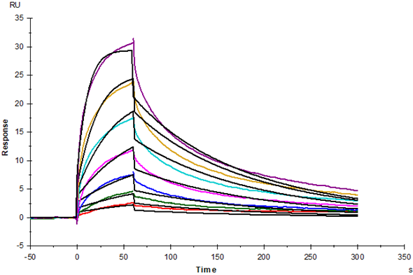
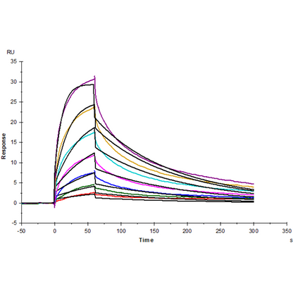
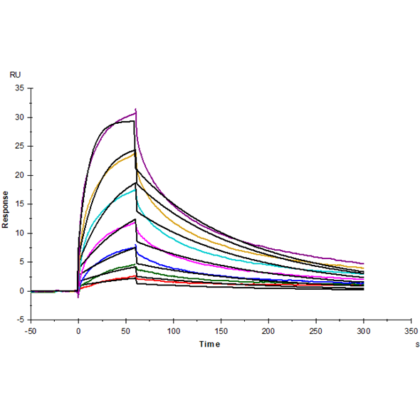
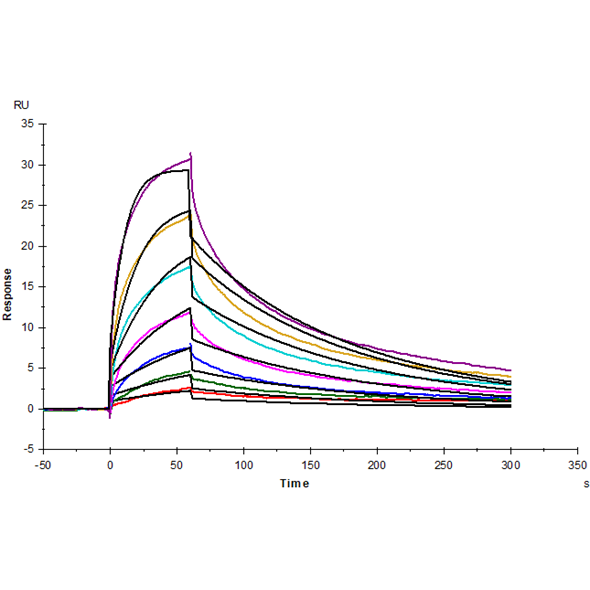
Bioactivity

SDS-PAGE


