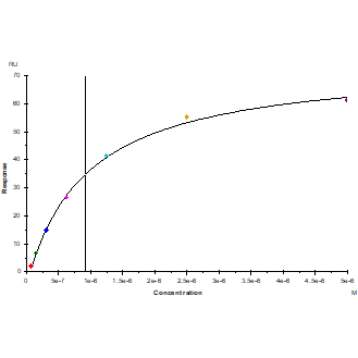
Protein A Chip captured Tie-2 Fc Chimera, Cynomolgus (Cat. No. UA010526), can bind Angiopoietin-2(275-496) His Tag, Human(Cat. No. UA010220) with an affinity constant of 0.93μM as determined in SPR assay.
Product Details
Product Details
Product Specification
| Species | Cynomolgus |
| Antigen | Tie-2 |
| Synonyms | TIE2, Tie-2, TEK, VMCM, VMCM1, CD202b, Angiopoietin-1 receptor |
| Accession | G7PS68 |
| Amino Acid Sequence | Ala23-Lys745, with C-terminal Human IgG1 Fc AMDLILINSLPLVSDAETSLTCIASGWHPHEPITIGRDFEALMNQHQDPLEVTQDVTREWAKKVVWKREKASKINGAYFCEGRVRGEAIRIRTMKMRQQASFLPATLTMTVDKGDNVNISFKKVLIKEEDAVIYKNGSFIHSVPRHEVPDILEVHLPHAQPQDAGVYSARYIGGNLFTSAFTRLIVRRCEAQKWGPECNRLCTVCVNNGVCHEDTGECICPPGFMGRTCEKACERHTFGRTCKERCSGQDGCKSYVFCLPDPYGCSCATGWKGLQCNEACHHGFYGPDCKLRCSCSNGETCDRFQGCLCSPGRQGLQCEREGIPRMTPKIVDLPDHIEVNSGKFNPICKASGWPLPTNEEMTLVKPDGTVLHPKDFNHTDHFSVAIFTIHRILPPDSGVWVCSANTVAGMVEKPFNISVKVLPKPLNAPNVIDTGHNFAVINISSEPYFGDGPIKSKKLLYKPVNHYEAWRHIQVTNEIVTLNHLEPRTEYELCVQLVRRGEGGEGHPGPVRRFTTASIGLPPPRGLNLLPKSQTTLNLTWQPIFPSSEDDFYVEVERRSVQKSDQQNIKVPGNLTSVLLNNLHPREQYVVRARVNTKAQGEWSEDLTAWTLSDILPPQPENIKISNITHSSAVISWTILDGYSISSITIRYKVQGKNEDQHIDVKIKNATITQYQLKGLEPETAYQVDIFAENNIGSSNPAFSHELVTLPESEAPADLGGGKIEGRMDPKSSDKTHTCPPCPAPELLGGPSVFLFPPKPKDTLMISRTPEVTCVVVDVSHEDPEVKFNWYVDGVEVHNAKTKPREEQYNSTYRVVSVLTVLHQDWLNGKEYKCKVSNKALPAPIEKTISKAKGQPREPQVYTLPPSRDELTKNQVSLTCLVKGFYPSDIAVEWESNGQPENNYKTTPPVLDSDGSFFLYSKLTVDKSRWQQGNVFSCSVMHEALHNHYTQKSLSLSPGK |
| Expression System | HEK293 |
| Molecular Weight | 113-128kDa |
| Purity | >95% by SDS-PAGE |
| Endotoxin | <0.1EU/μg |
| Conjugation | Unconjugated |
| Tag | Human Fc Tag |
| Physical Appearance | Lyophilized Powder |
| Storage Buffer | PBS, pH7.4 |
| Reconstitution | Reconstitute at 0.1-1 mg/ml according to the size in ultrapure water after rapid centrifugation. |
| Stability & Storage | · 12 months from date of receipt, lyophilized powder stored at -20 to -80℃. · 3 months, -20 to -80℃ under sterile conditions after reconstitution. · 1 week, 2 to 8℃ under sterile conditions after reconstitution. · Please avoid repeated freeze-thaw cycles. |
| Reference | 1.Jones N. et al. (1998) The Tek / Tie2 receptor signals through a novel Dok-related docking protein, Dok-R. Oncogene. 17(9): 1097-1108.2.Sato A. et al. (1998) Characterization of TEK receptor tyrosine kinase and its ligands, Angiopoietins, in human hematopoietic progenitor cells. Int Immunol. 10(8): 1217-1227. |
Background
Tie-2/Tek comprise a receptor tyrosine kinase (RTK) subfamily with unique structural characteristics: two immunoglobulin-like domains flanking three epidermal growth factor (EGF)-like domains and followed by three fibronectin type III-like repeats in the extracellular region and a split tyrosine kinase domain in the cytoplasmic region. Tyrosine-protein kinase that acts as cell-surface receptor for ANGPT1, ANGPT2 and ANGPT4 and regulates angiogenesis, endothelial cell survival, proliferation, migration, adhesion and cell spreading, reorganization of the actin cytoskeleton, but also maintenance of vascular quiescence. Has anti-inflammatory effects by preventing the leakage of proinflammatory plasma proteins and leukocytes from blood vessels. Required for normal angiogenesis and heart development during embryogenesis. Required for post-natal hematopoiesis.
Picture
Picture
Bioactivity



Immobilized Angiopoietin-2(275-496) His Tag, Human (Cat. No. UA010220) at 2.0μg/mL (100μL/well) can bind Tie-2 Fc Chimera, Cynomolgus (Cat. No. UA010526) with EC50 of 0.22-0.55μg/ml.
SDS-PAGE

