Product Details
Product Details
Product Specification
Species | Human |
Accession | Q96LC7-1 |
Amino Acid Sequence | Met17-Thr546, with C-terminal Mouse IgG2a Fc MDGRFWIRVQESVMVPEGLCISVPCSFSYPRQDWTGSTPAYGYWFKAVTETTKGAPVATNHQSREVEMSTRGRFQLTGDPAKGNCSLVIRDAQMQDESQYFFRVERGSYVRYNFMNDGFFLKVTALTQKPDVYIPETLEPGQPVTVICVFNWAFEECPPPSFSWTGAALSSQGTKPTTSHFSVLSFTPRPQDHNTDLTCHVDFSRKGVSAQRTVRLRVAYAPRDLVISISRDNTPALEPQPQGNVPYLEAQKGQFLRLLCAADSQPPATLSWVLQNRVLSSSHPWGPRPLGLELPGVKAGDSGRYTCRAENRLGSQQRALDLSVQYPPENLRVMVSQANRTVLENLGNGTSLPVLEGQSLCLVCVTHSSPPARLSWTQRGQVLSPSQPSDPGVLELPRVQVEHEGEFTCHARHPLGSQHVSLSLSVHYSPKLLGPSCSWEAEGLHCSCSSQASPAPSLRWWLGEELLEGNSSQDSFEVTPSSAGPWANSSLSLHGGLSSGLRLRCEAWNVHGAQSGSILQLPDKKGLISTIEGRMDEPRGPTIKPCPPCKCPAPNLLGGPSVFIFPPKIKDVLMISLSPIVTCVVVDVSEDDPDVQISWFVNNVEVHTAQTQTHREDYNSTLRVVSALPIQHQDWMSGKEFKCKVNNKDLPAPIERTISKPKGSVRAPQVYVLPPPEEEMTKKQVTLTCMVTDFMPEDIYVEWTNNGKTELNYKNTEPVLDSDGSYFMYSKLRVEKKNWVERNSYSCSVVHEGLHNHHTTKSFSRTPGK |
Expression System | HEK293 |
Molecular Weight | 100kDa (Reducing) |
Purity | >95% by SDS-PAGE |
Endotoxin | <0.1EU/μg |
Conjugation | Unconjugated |
Tag | Mouse Fc Tag |
Physical Appearance | Lyophilized Powder |
Storage Buffer | PBS, pH7.4 |
Reconstitution | Reconstitute at 0.1-1 mg/ml according to the size in ultrapure water after rapid centrifugation. |
Stability & Storage | · 12 months from date of receipt, lyophilized powder stored at -20 to -80℃. · 3 months, -20 to -80℃ under sterile conditions after reconstitution. · 1 week, 2 to 8℃ under sterile conditions after reconstitution. · Please avoid repeated freeze-thaw cycles. |
Background
Sialic acid-binding immunoglobulin-like lectins (Siglecs) are cell surface receptors of the I-type lectin family that are expressed on innate immune cells and bind to sialylated and non-sialylated ligands. Siglec-10 expression has been associated with poor survival and natural killer cell dysfunction in patients with hepatocellular carcinoma (HCC). Siglec-10 is an immune system-restricted, membrane bound protein of the Siglec family. Siglec-10 is expressed on human leucocytes, including eosinophils, monocytes, and NK cells. It suggests that Siglec-10 may function as an inhibitory receptor within the innate immune system that is reported that downregulation of CD24 inhibits proliferation and induces apoptosis of tumor cells, whereas increased expression of CD24 advances tumor growth and metastasis. Siglec-10 binds sialated proteins and lipids in alpha 2,3 or alpha 2,6 linkage and shows a preference for GT1b gangliosides. This binding can be modulated by cis interactions of Siglec-10 with sialated molecules expressed on the same cell. When tyrosine phosphorylated, the cytoplasmic ITIMs interact with phosphatases SHP-1 and SHP-2 to propagate inhibitory signals.
Picture
Picture
SDS-PAGE

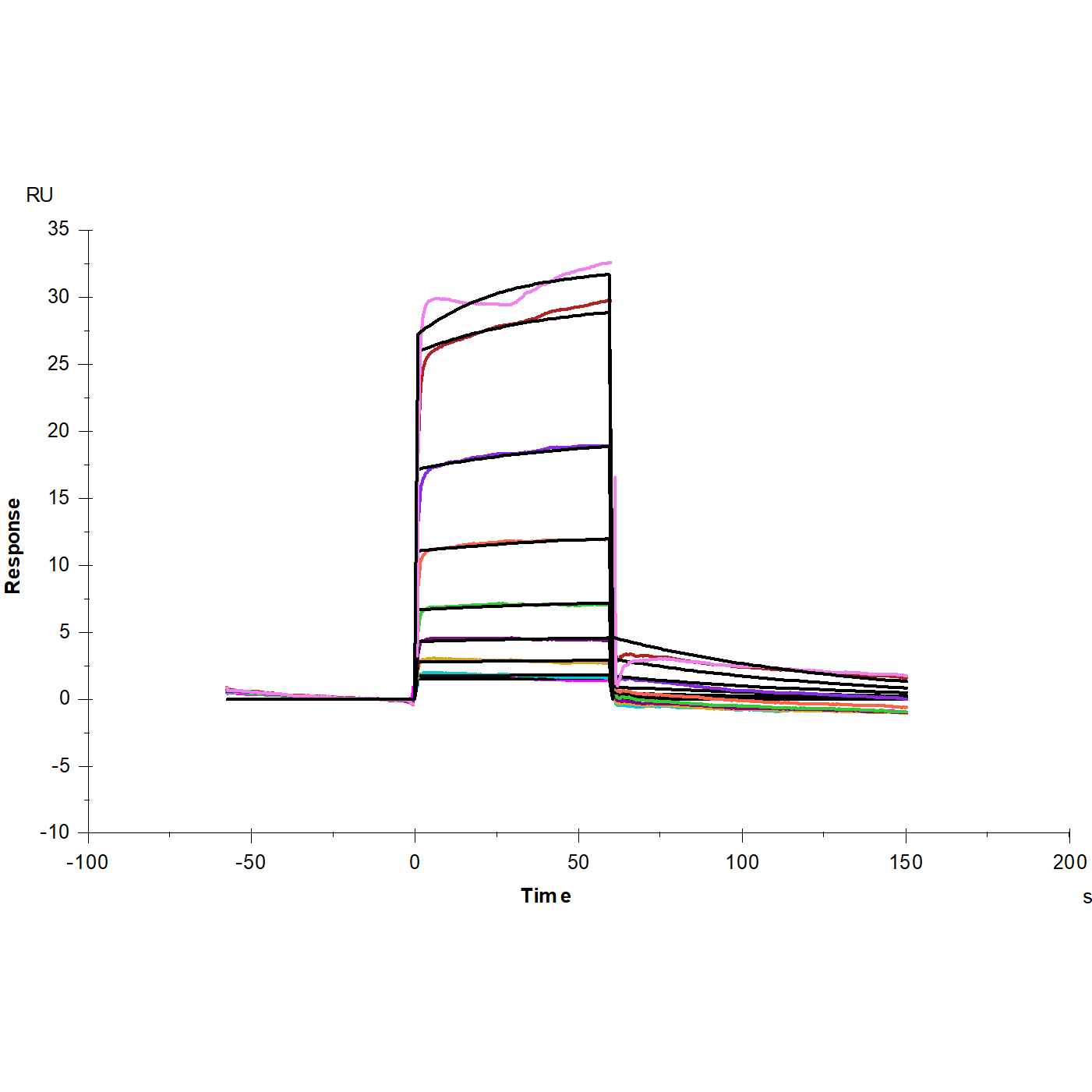
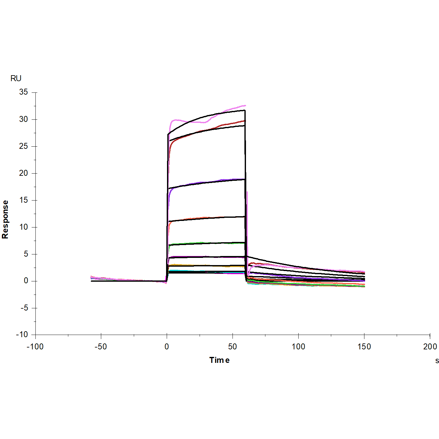
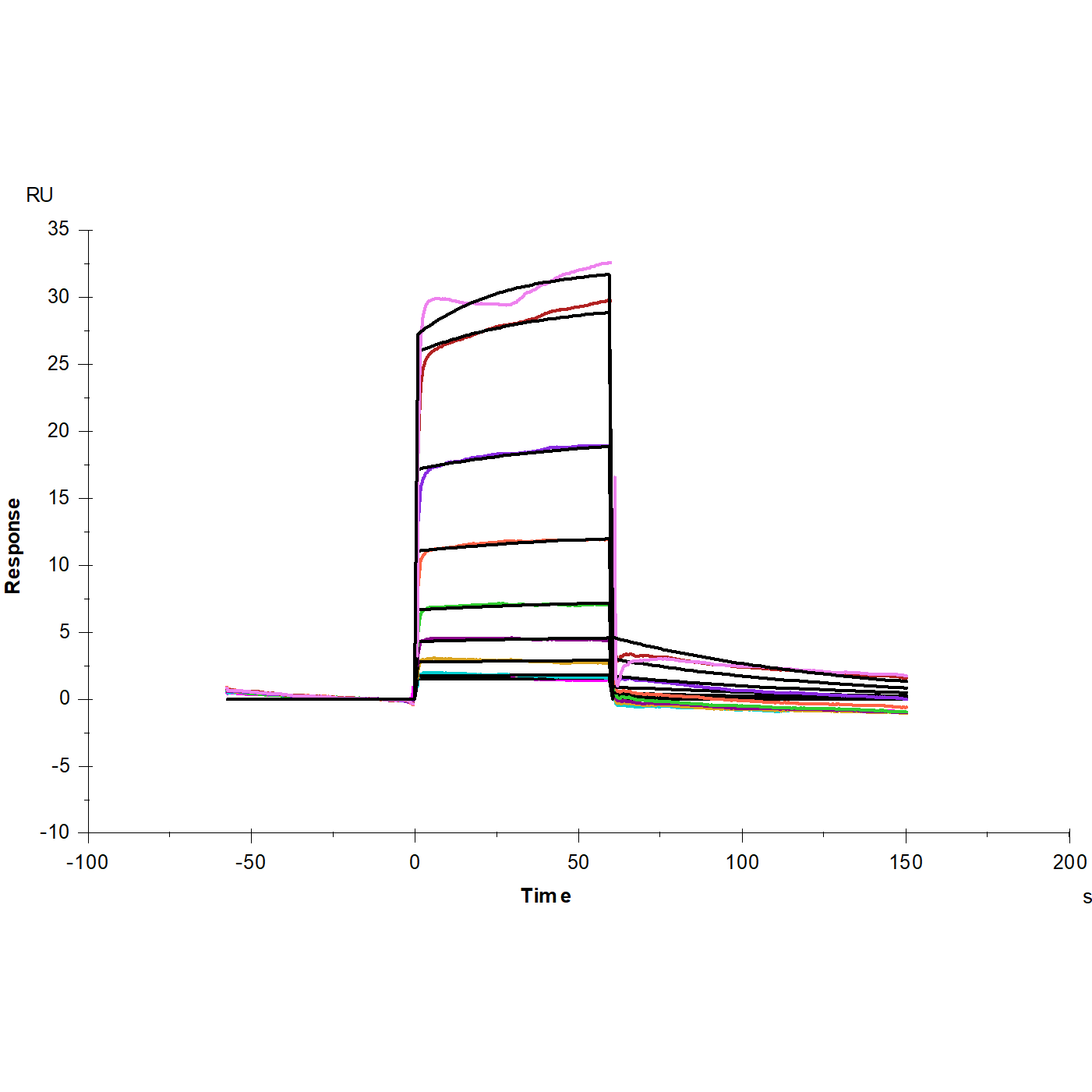
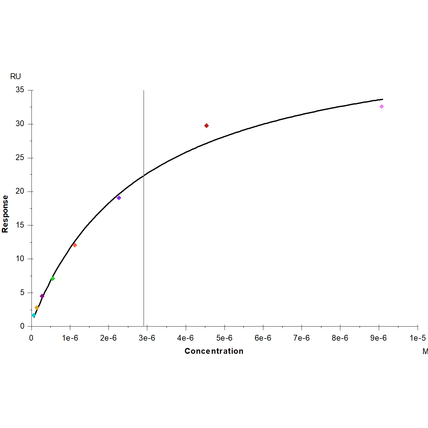
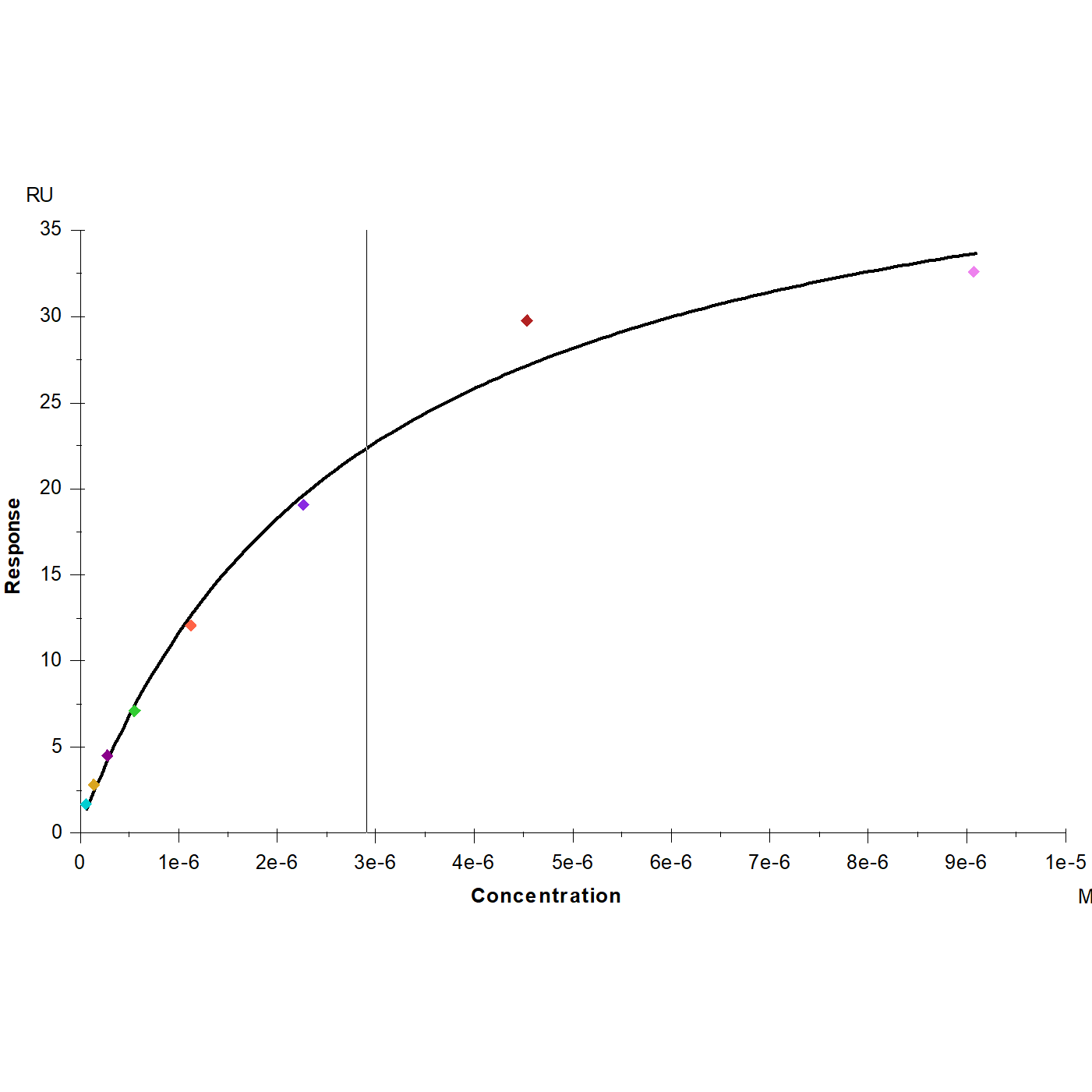
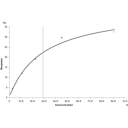
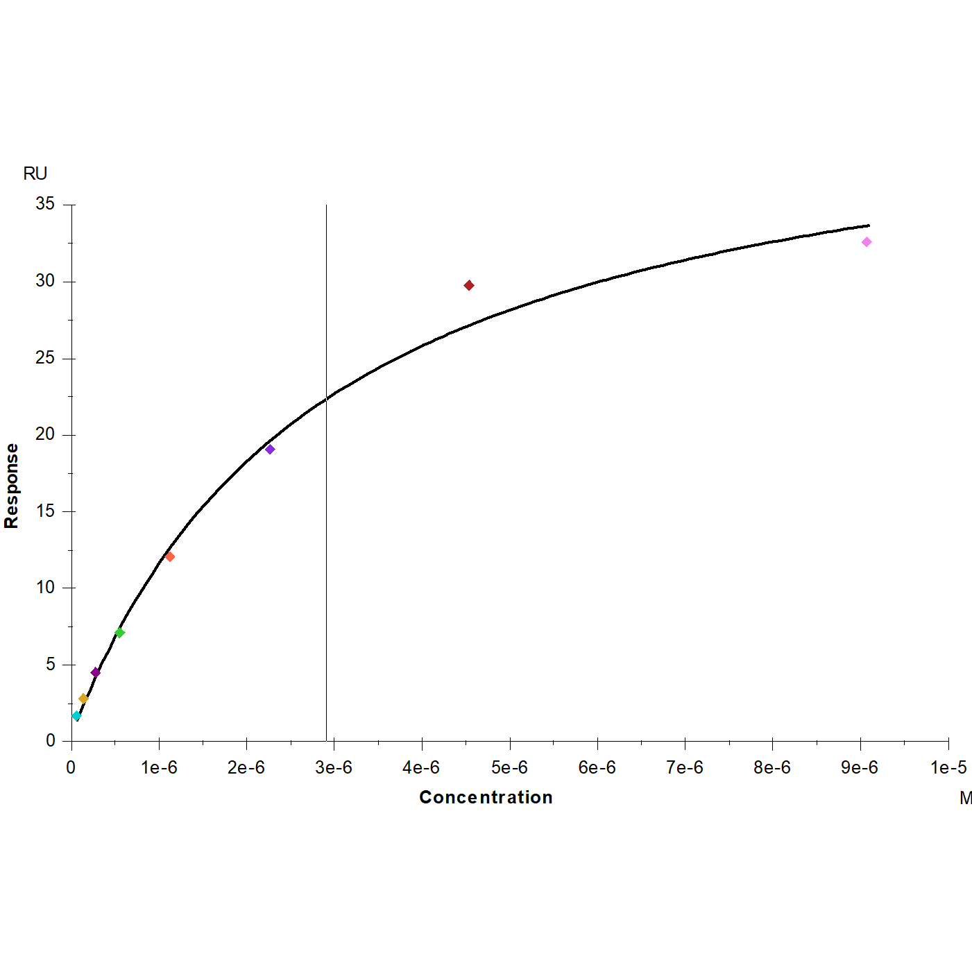
SPR


CM5 Chip captured CD24 Fc Chimera, Human (Cat. No. UA010702), can bind Siglec-10 mFc Chimera, Human (Cat. No. UA010116) with an affinity constant of 2.91 μM as determined in SPR assay.


