Product Details
Product Details
Product Specification
Species | Mouse |
Synonyms | PDL2, PD-L2, Butyrophilin B7-DC, CD273, PDCD1 ligand 2, PDCD1L2, PDCD1LG2 |
Accession | Q9WUL5 |
Amino Acid Sequence | Leu20-Arg219, with C-terminal human IgG1 Fc LFTVTAPKEVYTVDVGSSVSLECDFDRRECTELEGIRASLQKVENDTSLQSERATLLEEQLPLGKALFHIPSVQVRDSGQYRCLVICGAAWDYKYLTVKVKASYMRIDTRILEVPGTGEVQLTCQARGYPLAEVSWQNVSVPANTSHIRTPEGLYQVTSVLRLKPQPSRNFSCMFWNAHMKELTSAIIDPLSRMEPKVPRIEGRMDPKSSDKTHTCPPCPAPELLGGPSVFLFPPKPKDTLMISRTPEVTCVVVDVSHEDPEVKFNWYVDGVEVHNAKTKPREEQYNSTYRVVSVLTVLHQDWLNGKEYKCKVSNKALPAPIEKTISKAKGQPREPQVYTLPPSRDELTKNQVSLTCLVKGFYPSDIAVEWESNGQPENNYKTTPPVLDSDGSFFLYSKLTVDKSRWQQGNVFSCSVMHEALHNHYTQKSLSLSPGK |
Expression System | HEK293 |
Molecular Weight | 57-70kDa |
Purity | >95% by SDS-PAGE |
Endotoxin | <0.1EU/μg |
Conjugation | Unconjugated |
Tag | Human Fc Tag |
Physical Appearance | Lyophilized Powder |
Storage Buffer | PBS, pH7.4 |
Reconstitution | Reconstitute at 0.1-1 mg/ml according to the size in ultrapure water after rapid centrifugation. |
Stability & Storage | · 12 months from date of receipt, lyophilized powder stored at -20 to -80℃. · 3 months, -20 to -80℃ under sterile conditions after reconstitution. · 1 week, 2 to 8℃ under sterile conditions after reconstitution. · Please avoid repeated freeze-thaw cycles. |
Reference | 1、Kojima M. et al. (2014) Fusion Protein of Mutant B7-DC and Fc Enhances the Antitumor Immune Effect of GM-CSF-secreting Whole-cell Vaccine. J Immunother. 37(3): 147-154. |
Background
B7-DC [also known as programmed death ligand 2 (PD-L2)] is a costimulatory molecule expressed predominantly on dendritic cells (DCs) and macrophages. In addition to its coinhibitory receptor, programmed death receptor 1 (PD-1), evidence suggests that B7-DC interacts with an unidentified costimulatory receptor on T cells. B7-DC mutants with selective binding capacity for the costimulatory receptor may be effective in stimulating antitumor immune responses, while avoiding the inhibitory effects of PD-1.
Picture
Picture
SDS-PAGE

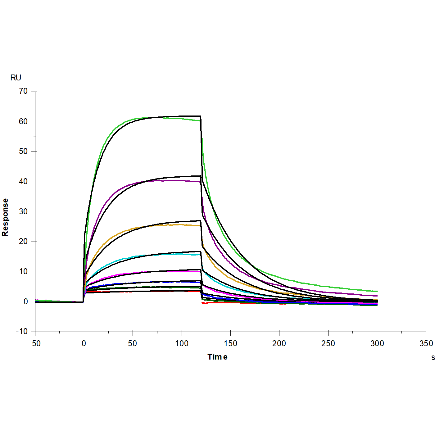
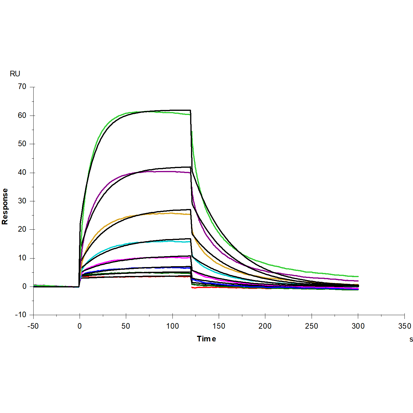
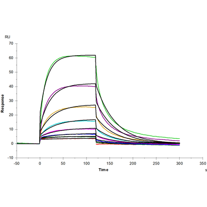
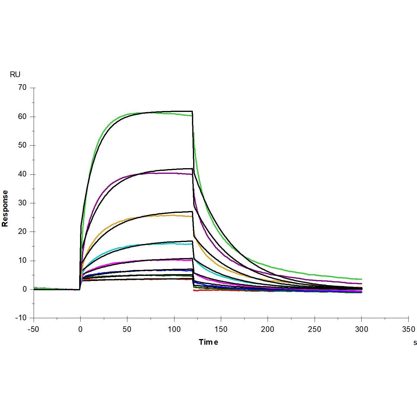
SPR

Anti-His antibody Immobilized on CM5 Chip captured PD-1 His Tag, Mouse (Cat. No. UA010292), can bind PD-L2/B7-DC Fc Chimera, Mouse (Cat. No. UA010337) with an affinity constant of 0.31 μM as determined in SPR assay.

