1μg (R: reducing condition, N: non-reducing condition).
Product Details
Product Details
Product Specification
Species | Mouse |
Synonyms | Gp80-LNGFR,NGF Receptor,Low Affinity Neurotrophin Receptor P75NTR,Nerve Growth Factor Receptor (TNFR Superfamily, Member 16),NGFR,TNFR Superfamily, Member 16,Tumor Necrosis Factor Receptor Superfamily Member 16,CD271,CD271 Antigen,Low Affinity Nerve Growth Factor Receptor,Low-Affinity Nerve Growth Factor Receptor,P75 ICD,Nerve Growth Factor Receptor,P75(NTR),TNFRSF16,P75NTR |
Accession | Q9Z0W1-1 |
Amino Acid Sequence | Lys32-Leu254, with C-hIgG Fc |
Expression System | HEK293 |
Molecular Weight | 70-90kDa (Reducing) |
Purity | >95% by SDS-PAGE > 95% by SEC-HPLC |
Endotoxin | <0.1EU/μg |
Conjugation | Unconjugated |
Physical Appearance | Lyophilized Powder |
Storage Buffer | PBS, PH7.4, 5% trehalose |
Reconstitution | Reconstitute at 0.1-1 mg/ml according to the size in ultrapure water after rapid centrifugation. |
Stability & Storage | · 12 months from date of receipt, lyophilized powder stored at -20 to -80℃. · 3 months, -20 to -80℃ under sterile conditions after reconstitution. · 1 week, 2 to 8℃ under sterile conditions after reconstitution. · Please avoid repeated freeze-thaw cycles. |
Reference | 1.Barker, P.A. and R.A. Murphy (1992) Molecular and Cellular Biochemistry 110:1. |
Background
p75 neurotrophin receptor, also named low affinity NGF receptor (NGF R), is a type I transmembrane protein that belongs to the tumor necrosis factor receptor family. The extracellular region contains four cysteine-rich domains and binds NGF, BDNF, NT-3 and NT-4 approximately equally with low affinity. The cytoplasmic region contains a subtype 2 death domain. NGF R expression has been shown to occur widely during development and in the adult. Expression has been detected in both neuronal and non-neuronal cells. NGF R was originally reported to function as a positive regulator of TrkA activity. NGF R has also been shown to signal by itself. Depending on its cellular environment, NGF R has now been shown to regulate cell migration, gene expression and to mediate apoptosis. Recombinant NGF R/Fc chimera binds NGF with high affinity and is a potent NGF antagonist. Naturally occurring truncated NGF R containing the extracellular domain and lacking the transmembrane or intracellular domain has been detected in vivo in urine, plasma and in amniotic fluid of humans and rats.
Picture
Picture
SDS-PAGE
SEC-HPLC
The purity of NGFR/TNFRSF16 Fc Chimera, Mouse is greater than 95% as determined by SEC-HPLC.
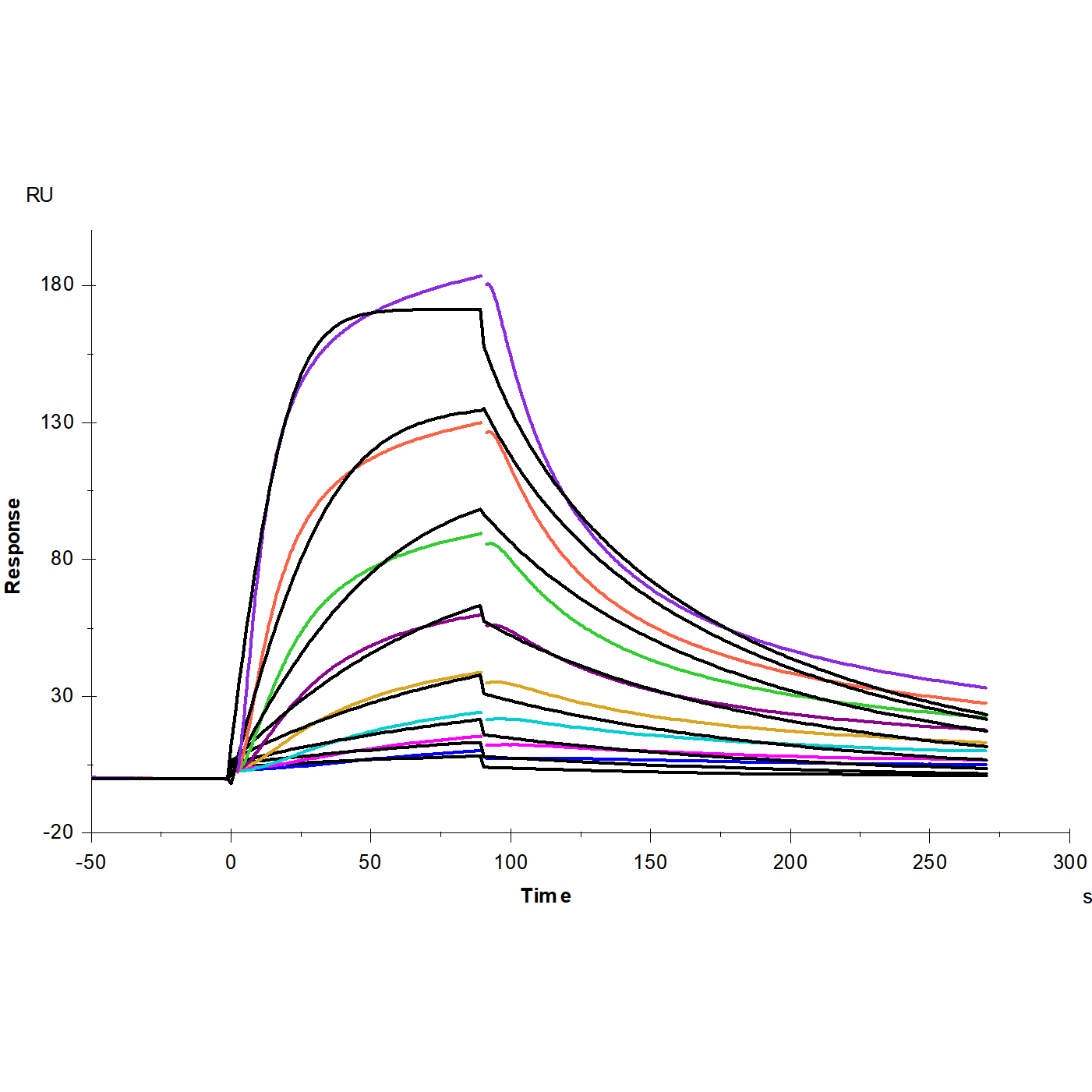
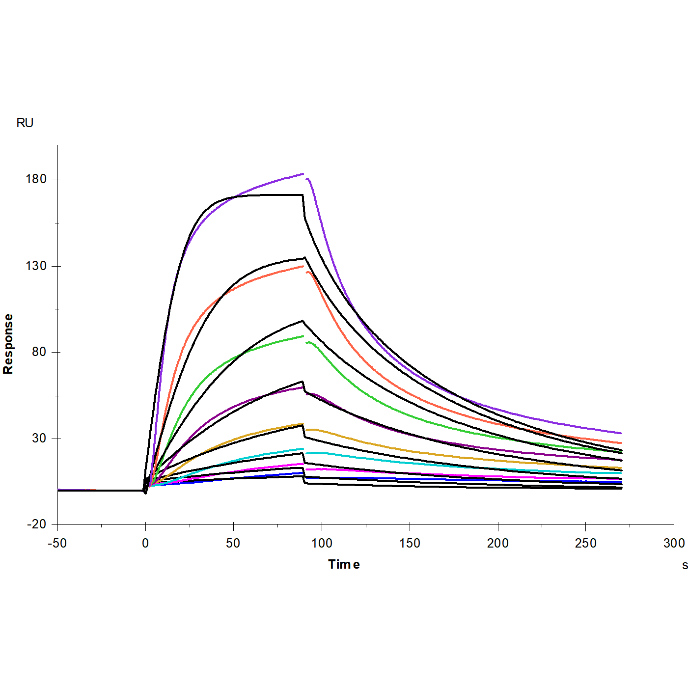
SPR

Protein A Chip captured NGFR/TNFRSF16 Fc Chimera, Mouse (Cat. No. UA010960), can bind NT-4 Mouse (Cat. No. UA040123) with an affinity constant of 22.48nM as determined in SPR assay.
