Product Details
Product Details
Product Specification
| Species | Human |
| Synonyms | Poliovirus Receptor-Related Protein 2; Herpes Virus Entry Mediator B; Herpesvirus Entry Mediator B; HveB; Nectin-2; CD112; PVRL2; HVEB; PRR2 |
| Accession | Q92692-2 |
| Amino Acid Sequence | Gln32-Leu360, with C-terminal His Tag |
| Expression System | HEK293 |
| Molecular Weight | 45-54 kDa(reducing) |
| Purity | >95%, by SDS-PAGE under reducing conditions |
| Endotoxin | <0.1EU/μg |
| Conjugation | Unconjugated |
| Tag | His Tag |
| Physical Appearance | Lyophilized Powder |
| Storage Buffer | PBS, pH7.4 |
| Reconstitution | Reconstitute at less than 1 mg/mL according to the size in ultrapure water after rapid centrifugation . |
| Stability & Storage | · 12 months from date of receipt, lyophilized powder stored at -20 to -80℃. · 3 months, -20 to -80℃ under sterile conditions after reconstitution. · 1 week, 2 to 8℃ under sterile conditions after reconstitution. · Please avoid repeated freeze-thaw cycles. |
Background
Nectin Cell Adhesion Molecule 2, also known as NECTIN2, is a Ca(2+)-independent cell-cell adhesion molecule which is one of the plasma membrane components of adherens junctions. NECTIN2 takes a vital part in the establishment of homotypic as well as heterotypic cell to cell contacts. NECTIN2 is essential for resisting herpes simplex virus type 2 infection in transfected cells. NECTIN2 is also a possible target for antibody therapy of breast & ovarian cancers. NECTIN2 might be related with human longevity. Two diseases which have been associated with NECTIN2 are Herpes Simplex and Ovarian Cystic Teratoma.
Picture
Picture
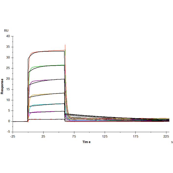
Bioactivity

Anti-His antibody Immobilized on CM5 Chip captured Nectin-2 His Tag, Human (Cat. No. UA010018), can bind PVRIG mFc Chimera, Human (Cat. No. UA010038) with an affinity constant of 98.91 nM as determined in SPR assay.

PVRIG Fc Chimera, Human (Cat. No. UA010135) captured on Protein A Biosenor, can bind Nectin-2/CD112 His Tag, Human (Cat. No. UA010018) with an affinity constant of 0.30μM as determined in SPR assay.

Immobilized PVRIG Fc Chimera, Human (Cat. No. UA010135) at 5μg/ml (100μl/well) can bind Nectin-2/CD112 His Tag, Human (Cat. No. UA010018) with EC50 of 0.46μg/ml.
SDS-PAGE

Nectin-2/CD112 His Tag, Human,2μg on SDS-PAGE under reducing and Non-reducing condition. The purity is greater than 95%.
