2e5 of transient transfected anti-MSLN ScFv CAR-293 cells were stained with 0.1ug MSLN/Mesothelin Fc Chimera Protein, Human, (Cat. No. UA010184) and unlable respectively (Fig. C and B), and non-transfected 293 cells were used as a control (Fig. A). Alexa Fluor 647 signal was used to evaluate the binding activity. 2e5 of transient transfected anti- MSLN ScFv CAR-293 cells were stained with isotype and Whitlow/218 Linker-Alexa Fluor® 488 (Fig. D and E). Alexa Fluor® 488 signal was used to evaluate the binding activity.
Product Details
Product Details
Product Specification
Species | Human |
Synonyms | MSLN/Mesothelin, MPF, SMRP |
Accession | Q13421-1 |
Amino Acid Sequence | Glu296-Gly580, with C-hIgG1 Fc |
Expression System | HEK293 |
Molecular Weight | 70-85kDa |
Purity | >95% by SDS-PAGE |
Endotoxin | <0.1EU/μg |
Conjugation | Unconjugated |
Tag | Human Fc Tag |
Physical Appearance | Lyophilized Powder |
Storage Buffer | PBS, pH7.4 |
Reconstitution | Reconstitute at 0.1-1 mg/ml according to the size in ultrapure water after rapid centrifugation. |
Stability & Storage |
· 12 months from date of receipt, lyophilized powder stored at -20 to -80℃. · 3 months, -20 to -80℃ under sterile conditions after reconstitution. · 1 week, 2 to 8℃ under sterile conditions after reconstitution. · Please avoid repeated freeze-thaw cycles. |
Reference |
1、Chang K. et al. (1996) Molecular cloning of mesothelin, a differentiation antigen present on mesothelium, mesotheliomas, and ovarian cancers. PNAS. 93(1): 136-140. 2、Liu X. et al. (2020) Multiple proteases are involved in mesothelin shedding by cancer cells. Commun Biol. 3: 728. |
Background
Mesothelin (MSLN) is also known as CAK1 antigen, Pre-pro-megakaryocyte potentiating factor, which belongs to the mesothelin family. Mesothelin/MSLN can be proteolytically cleaved into the following two chains by a furin-like convertase: Megakaryocyte-potentiating factor (MPF) and the cleaved form of mesothelin. Both MPF and the cleaved form of mesothelin are N-glycosylated. Mesothelin/MSLN can interacts with MUC16. The membrane-anchored form of MSLN may play a role in cellular adhesion. MPF potentiates megakaryocyte colony formation in vitro. Mesothelin (MSLN) is a lineage restricted cell surface protein expressed in about 30% of human cancers and high MSLN expression is associated with poor survival in several different cancers. The restricted expression of MSLN in normal tissue and its frequent expression in cancers make MSLN an excellent target for antibody-based therapies.
Picture
Picture
FC

Bioactivity



Immobilized Biotinylated CA125/MUC16 His&Avi Tag, Human (Cat. No. UA010940) at 2 μg/mL on Streptavidin precoated (0.5μg/well) plate, can bind MSLN/Mesothelin Fc Chimera, Human (Cat. No. UA010184) with EC50 of 4.04-5.02 ng/ml.
SDS-PAGE

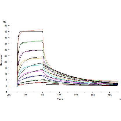
SPR

Anti-His antibody Immobilized on CM5 Chip captured CA125/MUC16 His Tag, Human (Cat. No. UA010258), can bind MSLN/Mesothelin Fc Chimera, Human (Cat. No. UA010184) with an affinity constant of 0.11μM as determined in SPR assay.





