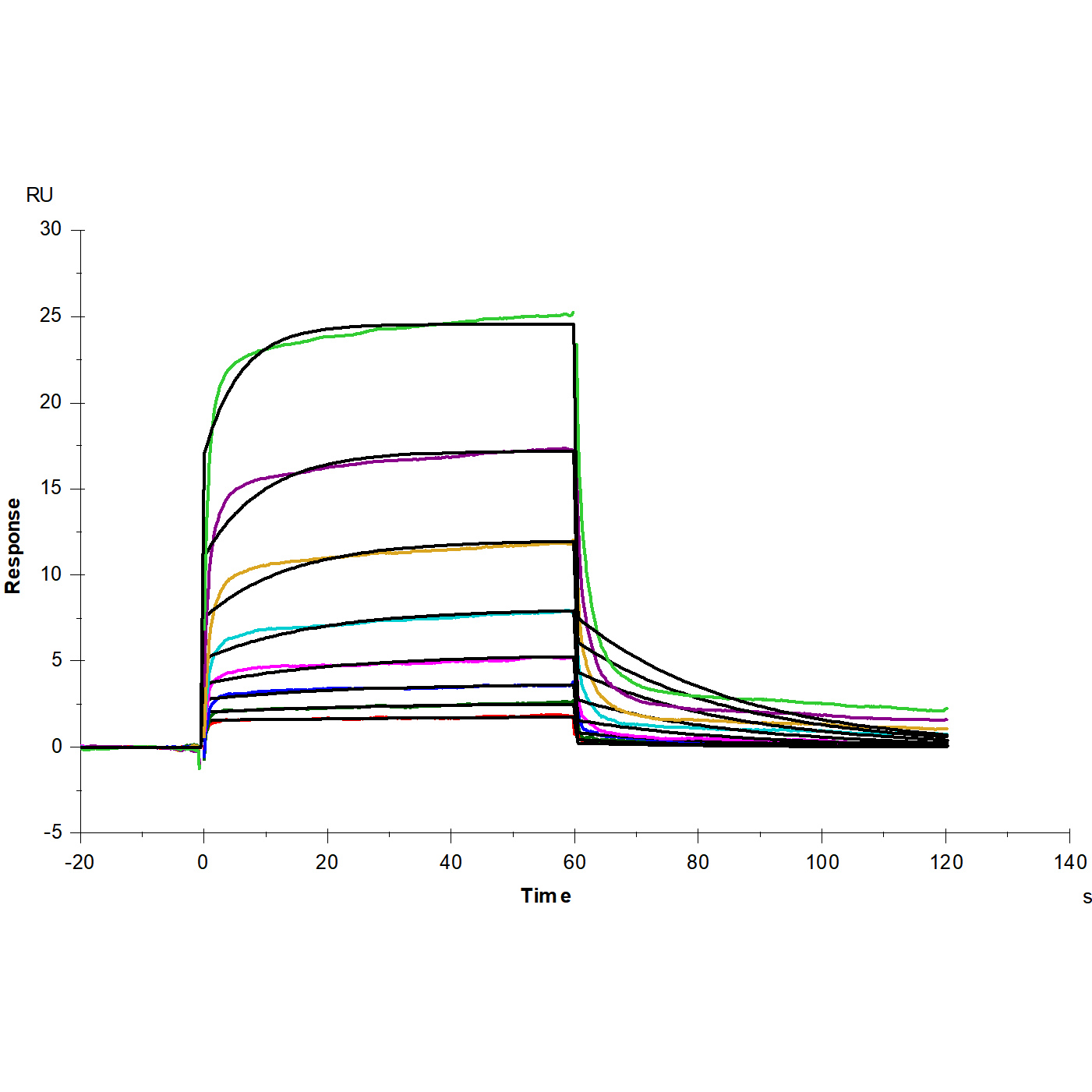
Protein A Chip captured IFNAR1 Fc Chimera Protein, Human (Cat. No. UA011167), can bind Human IFN-alpha1, His tag (Cat. No. S0A4013) with an affinity constant of 0.30μM as determined in SPR assay.
Product Details
Product Details
Product Specification
Species | Human |
Synonyms | IFNAR1, IFNAR, CRF2-1, IFN-R-1, IFNAR-1 |
Accession | P17181-1 |
Amino Acid Sequence | Lys28-Lys436, with Human IgG1 Fc at the C-terminal |
Expression System | HEK293 |
Molecular Weight | 95-125kDa (Reducing) |
Purity | >95% by SDS-PAGE & >85% by SEC-HPLC |
Conjugation | Unconjugated |
Tag | Human IgG1 Fc |
Physical Appearance | Lyophilized Powder |
Storage Buffer | PBS, PH7.4, 5% trehalose |
Reconstitution | Reconstitute at 0.1-1 mg/ml according to the size in ultrapure water after rapid centrifugation. |
Stability & Storage | · 12 months from date of receipt, lyophilized powder stored at -20 to -80℃. |
Reference | 1.Jacob RA, Zhang A, Ajoge HO, D'Agostino MR, Nirmalarajah K, Shigayeva A, Demian WL, Baker SJC, Derakhshani H, Rossi L, Nasir JA, Panousis EM, Draia AN, Vermeiren C, Gilchrist J, Smieja N, Bulir D, Smieja M, Surette MG, McArthur AG, McGeer AJ, Mubareka S, Banerjee A, Miller MS, Mossman K. Sensitivity to Neutralizing Antibodies and Resistance to Type I Interferons in SARS-CoV-2 R.1 Lineage Variants, Canada. Emerg Infect Dis. 2023 Jul;29(7):1386-1396. |
Background
Interferon alpha/beta receptor 1 (IFNAR1), also known as Cytokine receptor class II member 1 (CRF2-1) or Type I interferon receptor 1, is a member of the type II cytokine receptor family. IFNAR1 contains four fibronectin type-III domains and forms the type I interferon receptor when associated with IFNAR2. As a receptor for interferons alpha and beta, IFNAR1 can transduce IFNβ signals independently of IFNAR2, although this does not activate the Jak-STAT pathway.
Picture
Picture
SDS-PAGE
SEC-HPLC
SPR


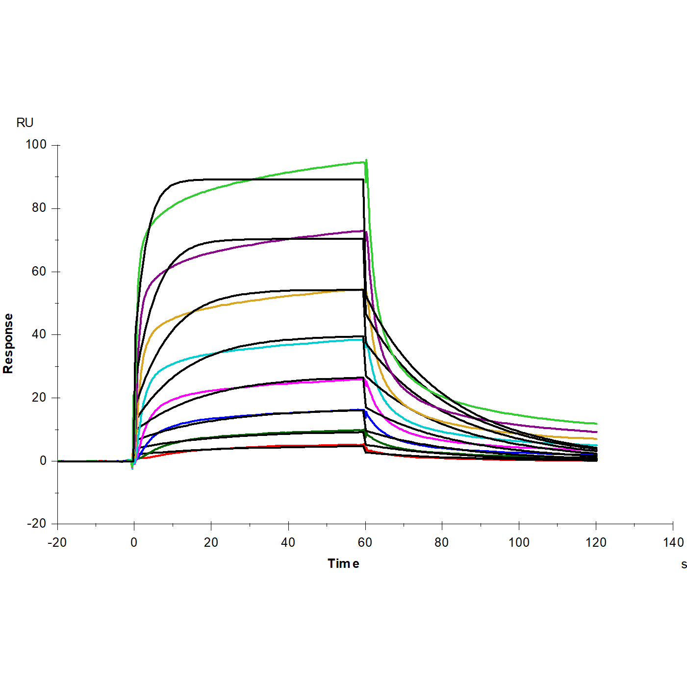
Protein A Chip captured IFNAR1 Fc Chimera Protein, Human (Cat. No. UA011167), can bind IFN-Omega Protein, Human (Cat. No. UA040381) with an affinity constant of 154 nM as determined in SPR assay.

