1μg (R: reducing condition).
Product Details
Product Details
Product Specification
| Species | Human |
| Synonyms | IFNAR1,IFNAR,CRF2-1,IFN-R-1,IFNAR-1 |
| Accession | P17181-1 |
| Amino Acid Sequence | Target (Lys28-Lys436) with hIgG1 Fc at C-Terminus |
| Expression System | HEK293 |
| Molecular Weight | 90-120 KDa(Reducing) |
| Purity | >95% by SDS-PAGE &>90% by SEC-HPLC |
| Endotoxin | <0.1EU/μg |
| Conjugation | Unconjugated |
| Tag | Human IgG1 Fc |
| Storage Buffer | PBS PH7.4 5% trehalose |
| Stability & Storage | · 12 months from date of receipt, lyophilized powder stored at -20 to -80℃. |
| Reference | Jacob RA, Zhang A, Ajoge HO, D'Agostino MR, Nirmalarajah K, Shigayeva A, Demian WL, Baker SJC, Derakhshani H, Rossi L, Nasir JA, Panousis EM, Draia AN, Vermeiren C, Gilchrist J, Smieja N, Bulir D, Smieja M, Surette MG, McArthur AG, McGeer AJ, Mubareka S, Banerjee A, Miller MS, Mossman K. Sensitivity to Neutralizing Antibodies and Resistance to Type I Interferons in SARS-CoV-2 R.1 Lineage Variants, Canada. Emerg Infect Dis. 2023 Jul;29(7):1386-1396. |
Background
Interferon alpha/beta receptor 1 (IFNAR1), also known as Cytokine receptor class-II member 1 (CRF2-1) or Type I interferon receptor 1, belongs to the type II cytokine receptor family. It contains four fibronectin type-III domains and pairs with IFNAR2 to form the type I interferon receptor. IFNAR1 serves as the receptor for interferons alpha and beta. Notably, IFNAR1 can transduce IFNβ signals independently of IFNAR2, without activating the Jak-STAT pathway.
Picture
Picture
SDS-PAGE
SEC-HPLC
The purity of IFN-alpha/beta R1 Fc Chimera Protein, Human is greater than 90% as determined by SEC-HPLC.
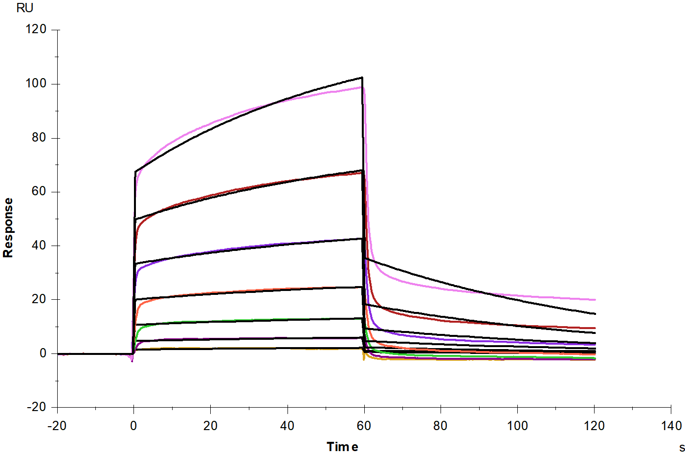
SPR

Protein A Chip captured IFN-alpha/beta R1 Fc Chimera Protein, Human (Cat. No. UA011186), can bind IFN-α 2a Protein, Human (Cat. No. UA040038) with an affinity constant of 1.30μM as determined in SPR assay.

Protein A Chip captured IFN-alpha/beta R1 Fc Chimera Protein, Human (Cat. No. UA011186), can bind Human IFN-α2, His Tag (Cat. No. S0A4005) with an affinity constant of 1.52μM as determined in SPR assay.
