Product Details
Product Details
Product Specification
| Species | Human |
| Accession | P21802-3 |
| Amino Acid Sequence |
Pro154-Leu358, with C-terminal 10*His PYWTNTEKMEKRLHAVPAANTVKFRCPAGGNPMPTMRWLKNGKEFKQEHRIGGYKVRNQHWSLIMESVVPSDKGNYTCVVENEYGSINHTYHLDVVERSPHRPILQAGLPANASTVVGGDVEFVCKVYSDAQPHIQWIKHVEKNGSKYGPDGLPYLKVLKHSGINSSNAEVLALFNVTEADAGEYICKVSNYIGQANQSAWLTVLGGGSGGGSHHHHHHHHHH |
| Expression System | HEK293 |
| Molecular Weight | 41-60kDa (Reducing) |
| Purity | >95% by SDS-PAGE |
| Endotoxin | <0.1EU/μg |
| Conjugation | Unconjugated |
| Tag | His Tag |
| Physical Appearance | Lyophilized Powder |
| Storage Buffer | PBS, pH7.4 |
| Reconstitution | Reconstitute at 0.1-1 mg/ml according to the size in ultrapure water after rapid centrifugation. |
| Stability & Storage | · 12 months from date of receipt, lyophilized powder stored at -20 to -80℃. · 3 months, -20 to -80℃ under sterile conditions after reconstitution. · 1 week, 2 to 8℃ under sterile conditions after reconstitution. · Please avoid repeated freeze-thaw cycles. |
Background
FGF-R2(IIIb) (fibroblast growth factor receptor 2, isoform IIIb) is a tyrosine kinase receptor present in many types of epithelial cells. This receptor is recognized and activated by specific peptide growth factors (Fgf1, Fgf3, Fgf7 and Fgf10) expressed in the mesenchyme. Interactions of Fgfr2 with its cognate ligands mediate epithelium-mesenchyme cross-talk and are involved in important processes of organogenesis. Within the gonad, the isoform FGFR2c acts as the receptor for FGF9 in order to suppress ovarian gene expression (WNT4). Its expression, like FGF9, is regulated by SOX9. FGFR2 mutations have been associated with multiple syndromes including Crouzon syndrome, Jackson–Weiss syndrome, LADD syndrome and Pfeiffer syndrome. FGFR-2 is also found in a wide variety of cell types and tissues and was first identified as an amplified gene from a human gastric cancer cell line. Amplification of Fgfr2 on chromosome 10q26 is observed in about 10% of gastric cancers, as well as in breast and oral squamous cell carcinomas.
Picture
Picture
SDS-PAGE

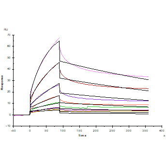
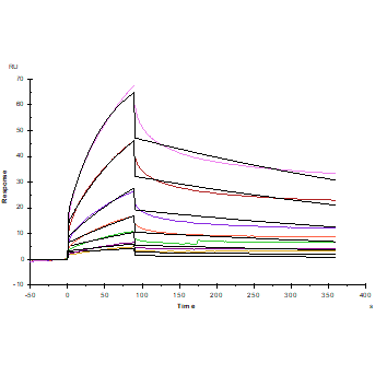
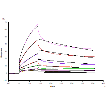
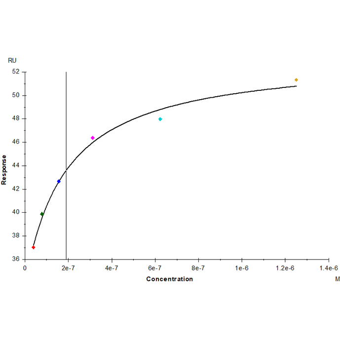
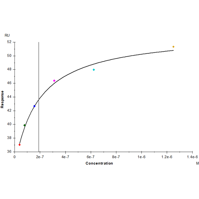
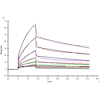
SPR

Anti-His antibody Immobilized on CM5 Chip captured FGF-R2 (IIIb) His Tag, Human (Cat. No. UA010145), can bind KGF/FGF-7, Human (Cat. No. UA040040) with an affinity constant of 0.19μM as determined in SPR assay.

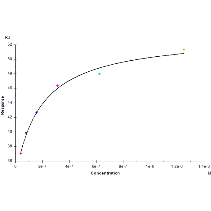
CM5 Chip captured FGF-9, Human(Cat. No.
UA040087), can bind FGF-R2 (IIIb) His Tag, Human(Cat. No. UA010145) with an
affinity constant of 0.45μM as determined in SPR assay.
