Measured in a cell proliferation assay using Balb/c 3T3 mouse fibroblast cells.The EC50 for this effect is less than 0.1ng/ml.corresponding to a specific activity of > 1 x 107 units/mg.
Product Details
Product Details
Product Specification
| Species | Human |
| Synonyms | bFGF,FGF-2,Heparin-binding growth factor 2,Basic fibroblast growth factor,FGFB,HBGF-2,FGF2,Fibroblast Growth Factor 2 (Basic) |
| Accession | P09038 |
| Amino Acid Sequence | Ala135-Ser288 |
| Expression System | E.coli |
| Molecular Weight | 17-18kDa(Reducing) |
| Purity | >95%, by SDS-PAGE under reducing conditions |
| Endotoxin | <1EU/μg |
| Conjugation | Unconjugated |
| Tag | No Tag |
| Physical Appearance | Lyophilized Powder |
| Storage Buffer | 20mM PB, 500mM NaCl, pH7.4 |
| Reconstitution | Reconstitute at 0.5 mg/ml according to the size in ultrapure water after rapid centrifugation. |
| Stability & Storage |
· 12 months from date of receipt, lyophilized powder stored at -20 to -80℃. · 3 months, -20 to -80℃ under sterile conditions after reconstitution. · 1 week, 2 to 8℃ under sterile conditions after reconstitution. · Please avoid repeated freeze-thaw cycles. |
Background
Basic fibroblast growth factor (bFGF), also known as FGF2, is a member of the fibroblast growth factor (FGF) family. It is a highly specific chemotactic and mitogenic factor for many cell types, appears to be involved in remodeling damaged tissue, such as ulcer healing, vascular repair, traumatic brain injury (TBI). bFGF is a critical component of human embryonic stem cell culture medium. In addition, bFGF protein is a heparin-binding cationic protein involved in a variety of pathological conditions including angiogenesis and solid tumour growth. Thus, bFGF is regarded as a target for cancers chemopreventive and therapeutic strategies.
Picture
Picture
Bioactivity

SDS-PAGE

SEC-HPLC

ELISA

Immobilized FGF-basic(154aa), Human (Cat. No. UA040007) at 1μg/mL (100μL/well) can bind FGF-R4/CD334 His Tag, Human (Cat. No. UA020009) with EC50 of 0.968μg/mL.

Immobilized FGF-basic(154aa), Human (Cat. No. UA040007) at 2.5μg/mL (100μL/well) can bind Human FGF-R1/CD331, His Tag (Cat. No. UA020008) with EC50 of 0.049-0.066μg/ ml.

Immobilized FGF-basic(154aa) Protein, Human (Cat. No. UA040007) at 2.0μg/mL (100μL/well) can bind Glypican 1/GPC1 His Tag Protein, Human (Cat. No. UA011160) with EC50 of 17.56-25.93ng/mL.

Immobilized FGF-basic(154aa) Protein, Human (Cat. No. UA040007) at 2.0μg/mL (100μL/well) can bind GPC3 Fc Chimera Protein, Human (Cat. No. UA010680) with EC50 of 3.97-7.23ng/mL.

Immobilized FGF-basic(154aa) Protein, Human (Cat. No. UA040007) at 2.0μg/mL (100μL/well) can bind GPC3 His Tag Protein, Human (Cat. No. UA010073) with EC50 of 11.98-19.94ng/mL.
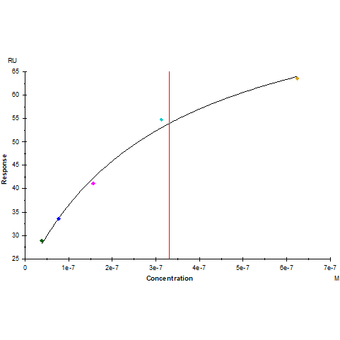
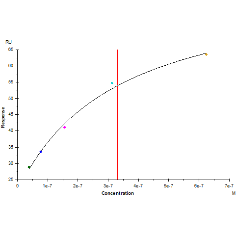
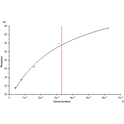
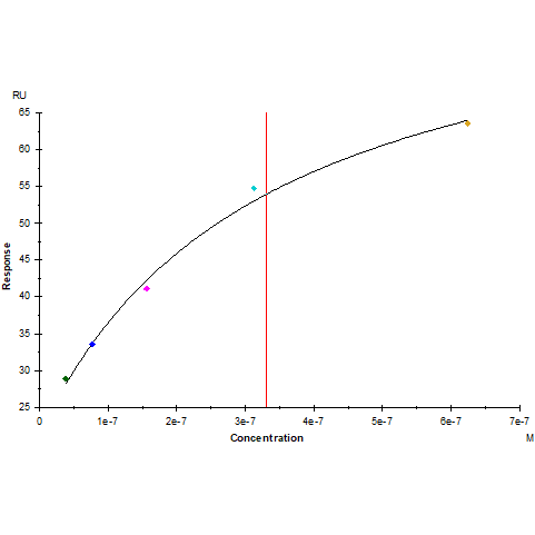
SPR

Anti-His antibody Immobilized on CM5 Chip captured FGF-R1/CD331 His Tag, Human (Cat. No. UA020008), can bind FGF-basic(154aa), Human (Cat. No. UA040007) with an affinity constant of 0.33μM as determined in SPR assay.
