Product Details
Product Details
Product Specification
Species | Mouse |
Synonyms | Fc gamma RIIB , CD32b;;Fc gamma Receptor IIB/C, CD32, CD32b,CDw32 |
Accession | P08101-1 |
Amino Acid Sequence | Thr40-Arg217, with C-terminal His |
Expression System | HEK293 |
Molecular Weight | 33-43kDa(Reducing) |
Purity | >95%, by SDS-PAGE under reducing conditions |
Endotoxin | <0.1EU/μg |
Conjugation | Unconjugated |
Tag | His Tag |
Physical Appearance | Lyophilized Powder |
Storage Buffer | PBS, pH7.4 |
Reconstitution | Reconstitute at less than 1 mg/mL according to the size in ultrapure water after rapid centrifugation . |
Stability & Storage | · 12 months from date of receipt, lyophilized powder stored at -20 to -80℃. · 3 months, -20 to -80℃ under sterile conditions after reconstitution. · 1 week, 2 to 8℃ under sterile conditions after reconstitution. · Please avoid repeated freeze-thaw cycles. |
Background
Fc γ RIIB, also known as CD32b, is a low affinity inhibitory receptor for the Fc part of the IgG molecule. It is a single-channel type I membrane protein with two IgG-like C2 (immunoglobulin-like) domains. Fc γ RIIB is expressed on B cells, macrophages, neutrophils, mast cells and bone marrow dendritic cells, and participates in B cell phagocytosis of immune complexes and regulation of antibody production. In some cases, it can promote cell apoptosis. CD32b may also be a target for monoclonal antibodies in the treatment of malignant tumors.
Picture
Picture
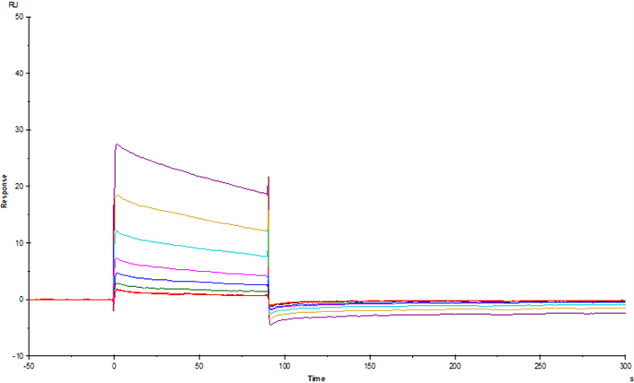
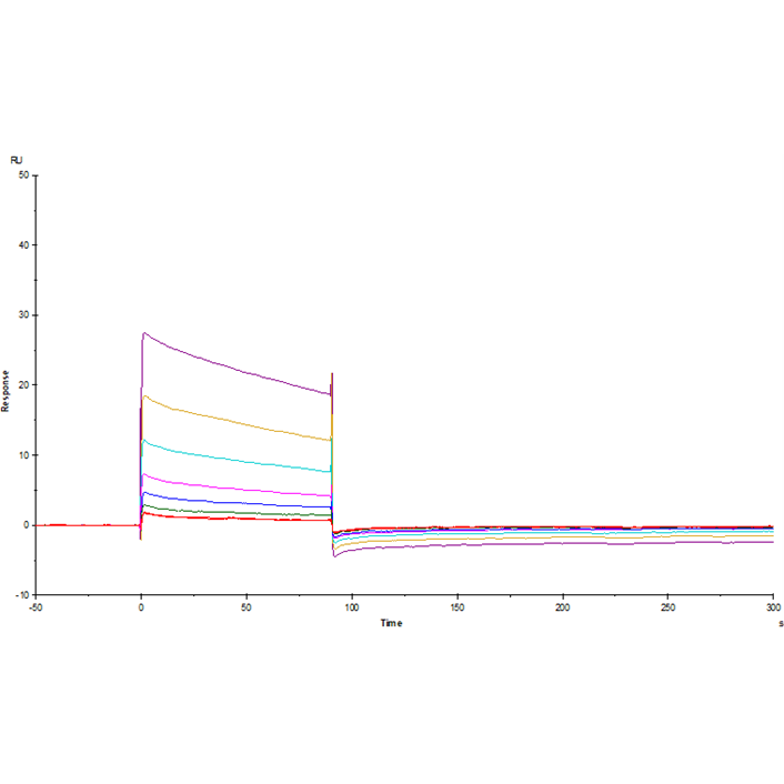
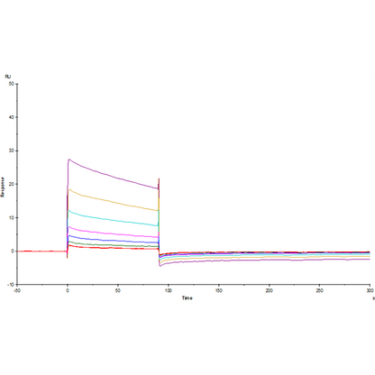
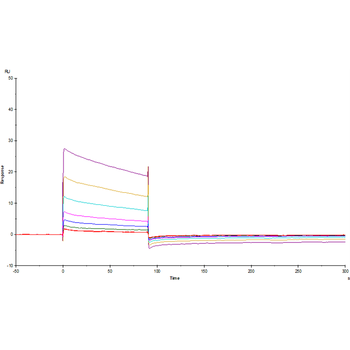
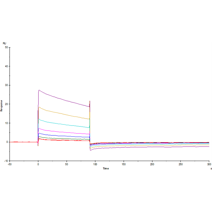
Bioactivity

Anti-His antibody Immobilized on CM5 Chip captured CD32b His Tag, Mouse (Cat. No. UA020015), can bind IgG1-Fc (UA050001) with an affinity constant of 21.59 μM as determined in SPR assay.
SDS-PAGE

Fc γ RIIB/CD32b His Tag, Mouse,1μg on SDS-PAGE under reducing and Non-reducing condition. The purity is greater than 95%.
RP-HPLC



