Product Details
Product Details
Product Specification
Species | Rhesus macaque |
Synonyms | ERBB,ERRP, HER1,Mena,ERBB1 |
Accession | P55245 |
Amino Acid Sequence |
Leu25-Ser645, with C-terminal 8*His LEEKKVCQGTSNKLTQLGTFEDHFLSLQRMFNNCEVVLGNLEITYVQRNYDLSFLKTIQEVAGYVLIALNTVERIPLENLQIIRGNMYYENSYALAVLSNYDANKTGLKELPMRNLQEILHGAVRFSNNPALCNVESIQWRDIVSSEFLSNMSMDFQNHLGSCQKCDPSCPNGSCWGAGEENCQKLTKIICAQQCSGRCRGKSPSDCCHNQCAAGCTGPRESDCLVCRKFRDEATCKDTCPPLMLYNPTTYQMDVNPEGKYSFGATCVKKCPRNYVVTDHGSCVRACGADSYEMEEDGVRKCKKCEGPCRKVCNGIGIGEFKDTLSINATNIKHFKNCTSISGDLHILPVAFRGDSFTHTPPLDPQELDILKTVKEITGFLLIQAWPENRTDLHAFENLEIIRGRTKQHGQFSLAVVSLNITSLGLRSLKEISDGDVIISGNKNLCYANTINWKKLFGTSSQKTKIISNRGENSCKATGQVCHALCSPEGCWGPEPRDCVSCQNVSRGRECVDKCNVLEGEPREFVENSECIQCHPECLPQVMNITCTGRGPDNCIQCAHYIDGPHCVKTCPAGVMGENNTLVWKYADAGHVCHLCHPNCTYGCTGPGLEGCARNGPKIPSGGGSHHHHHHHH |
Expression System | HEK293 |
Molecular Weight | 80-97kDa (Reducing) |
Purity | >95% by SDS-PAGE |
Endotoxin | <0.1EU/μg |
Conjugation | Unconjugated |
Tag | His Tag |
Physical Appearance | Lyophilized Powder |
Storage Buffer | PBS, pH7.4 |
Reconstitution | Reconstitute at 0.1-1 mg/ml according to the size in ultrapure water after rapid centrifugation. |
Stability & Storage | · 12 months from date of receipt, lyophilized powder stored at -20 to -80℃. · 3 months, -20 to -80℃ under sterile conditions after reconstitution. · 1 week, 2 to 8℃ under sterile conditions after reconstitution. · Please avoid repeated freeze-thaw cycles. |
Background
The Epidermal Growth Factor Receptor (EGFR)is a transmembrane glycoprotein that is a member of the protein kinase superfamily. This protein is a receptor for members of the epidermal growth factor family. EGFR is a cell surface protein that binds to epidermal growth factor, thus inducing receptor dimerization and tyrosine autophosphorylation leading to cell proliferation. Mutations in this gene are associated with lung cancer. EGFR is a component of the cytokine storm which contributes to a severe form of Coronavirus Disease 2019 (COVID-19) resulting from infection with severe acute respiratory syndrome coronavirus-2 (SARS-CoV-2).
EGFR is activated after homodimerization or heterodimerization. Heterodimerization is an important mechanism that allows the activation of all EGFR in response to ligand stimulation. The activated EGFR binds to many signaling proteins and stimulates the activation of many signaling pathways. The specificity and potency of intracellular signaling pathways are determined by positive and negative regulators, the specific composition of activating ligand(s), receptor dimer components, and the diverse range of proteins that associate with the tyrosine phosphorylated C-terminal domain of the EGFR. EGFR is overexpressed or mutated in many cancers, especially in breast cancer, ovarian cancer, and non-small cell lung cancer. The overexpression and overactivation of EGFR is correlated with poor prognosis, drug resistance, cancer metastasis, and lower survival rate.
Picture
Picture
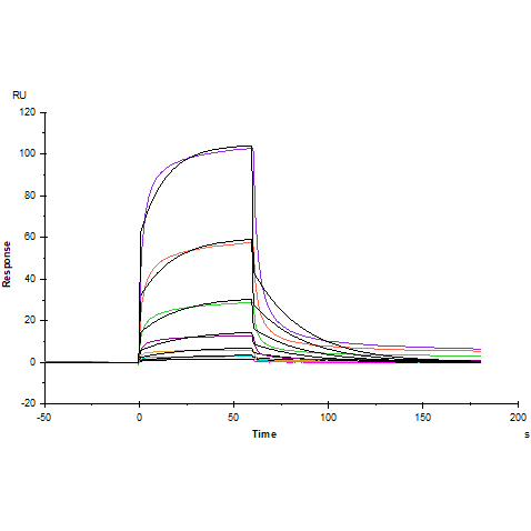
Bioactivity


SDS-PAGE



