Product Details
Product Details
Product Specification
| Species | Human |
| Accession | P16410 |
| Amino Acid Sequence | Ala37-Phe162, with C-terminal Human IgG1 Fc |
| Expression System | HEK293 |
| Molecular Weight | 49-54 kDa(Reducing) |
| Purity |
>95%, by SDS-PAGE under reducing conditions >95%,as determined by HPLC |
| Endotoxin | <0.1EU/μg |
| Conjugation | Unconjugated |
| Tag | Human Fc Tag |
| Physical Appearance | Lyophilized Powder |
| Storage Buffer | PBS, pH7.4 |
| Reconstitution | Reconstitute at less than 1 mg/mL according to the size in ultrapure water after rapid centrifugation. |
| Stability & Storage | · 12 months from date of receipt, lyophilized powder stored at -20 to -80℃. · 3 months, -20 to -80℃ under sterile conditions after reconstitution. · 1 week, 2 to 8℃ under sterile conditions after reconstitution. · Please avoid repeated freeze-thaw cycles. |
Background
Cytotoxic T-lymphocyte-associated protein 4 (CTLA-4) is an inhibitory receptor belonging to the CD28 immunoglobulin subfamily, expressed primarily by T-cells. The family includes CD28, CTLA-4 and ICOS as well as other proteins including PD-1, BTLA and TIGIT.Its ligands, CD80 and CD86, are typically found on the surface of antigen-presenting cells and can either bind CD28 or CTLA-4, resulting in a costimulatory or a co-inhibitory response, respectively. Because of its dampening effect, CTLA-4 is a crucial regulator of T-cell homeostasis and self-tolerance. The mechanisms by which CTLA-4 exerts its inhibitory function can be categorized as either cell-intrinsic (affects the CTLA-4 expressing T-cell) or cell-extrinsic (affects secondary cells). CTLA-4 mainly acts in a cell-extrinsic manner via its competition with CD28, CTLA-4-mediated trans-endocytosis of CD80 and CD86, and its direct tolerogenic effects on the interacting cell.
Picture
Picture
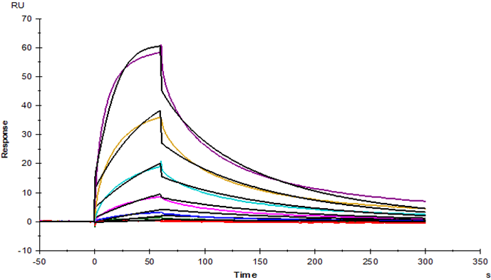
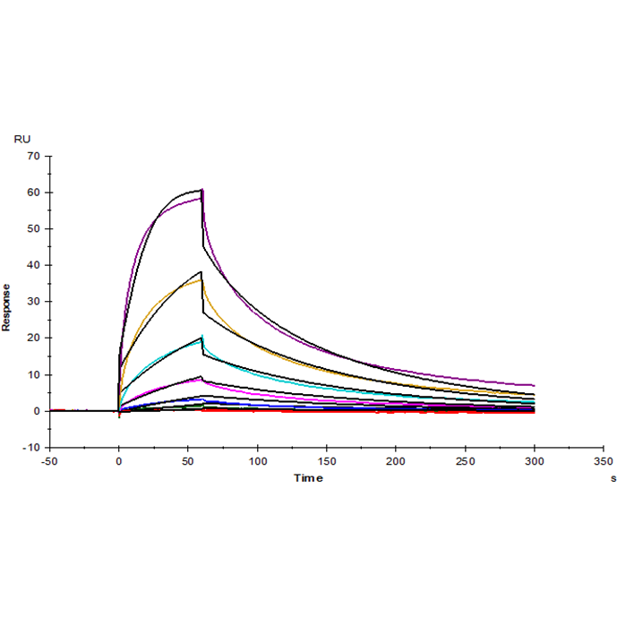
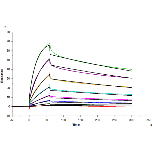
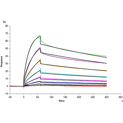
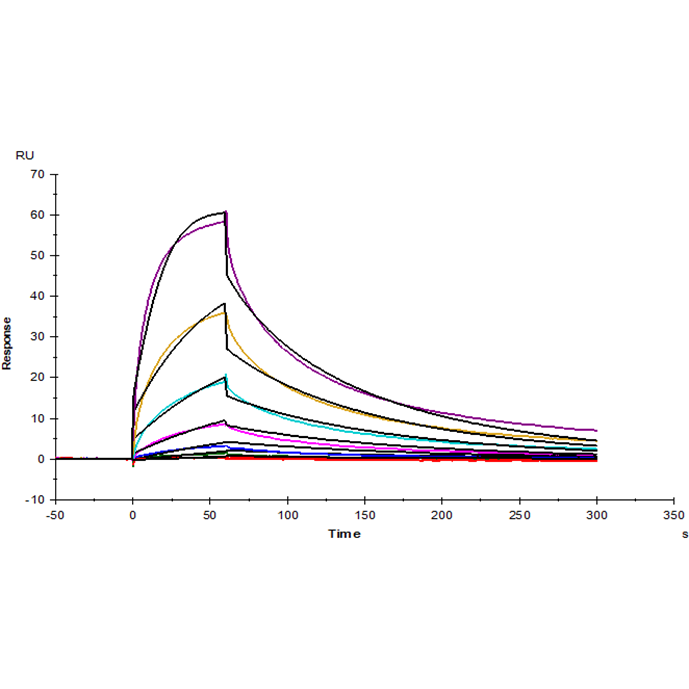
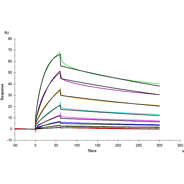
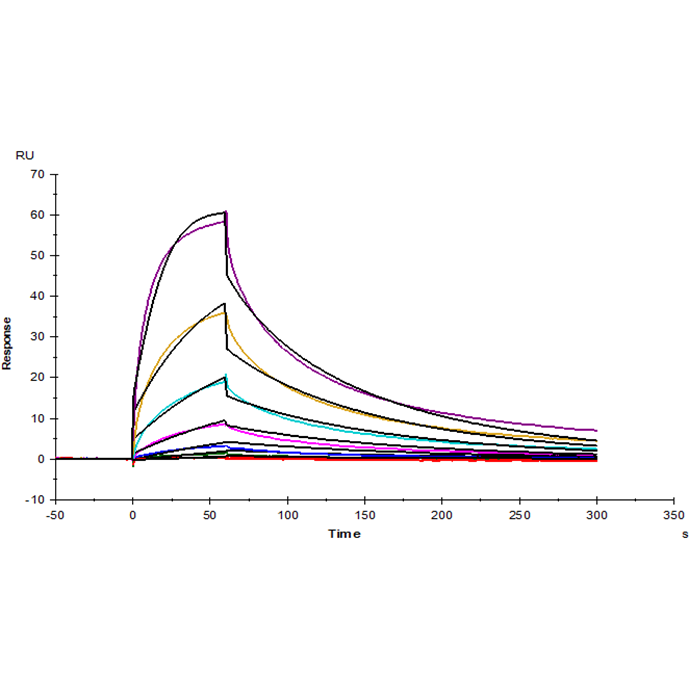
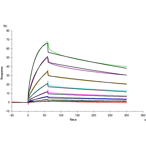
Bioactivity




SDS-PAGE

SEC-HPLC

