Immobilized CD58/LFA-3 His Tag, Human (Cat. No. UA010759) at 2.0μg/mL (100μL/well) can bind CD2/SRBC Fc Chimera, Cynomolgus (Cat. No. UA010735) with EC50 of 0.14-0.22 μg/mL.
Product Details
Product Details
Product Specification
Species | Human |
Synonyms | CD58, LFA3, Ag3 |
Accession | AAH05930.1 |
Amino Acid Sequence | Phe29-Arg215, with C-terminal His Tag |
Expression System | HEK293 |
Molecular Weight | 33-55kDa (Reducing) |
Purity | >95% by SDS-PAGE |
Endotoxin | <0.1EU/μg |
Conjugation | Unconjugated |
Tag | His Tag |
Physical Appearance | Lyophilized Powder |
Storage Buffer | PBS, pH7.4. |
Reconstitution | Reconstitute at 0.1-1 mg/ml according to the size in ultrapure water after rapid centrifugation. |
Stability & Storage | · 12 months from date of receipt, lyophilized powder stored at -20 to -80℃. · 3 months, -20 to -80℃ under sterile conditions after reconstitution. · 1 week, 2 to 8℃ under sterile conditions after reconstitution. · Please avoid repeated freeze-thaw cycles. |
Reference | Smith, M.E. and J.A. Thomas (1990) J. Clin. Pathol. 43:893. Bolhuis, R.L. Roozemond, R.C. and R.J. van de Griend (1986) J. Immunol. 136:3939. Crawford, K. et al. (2003) Blood 102:1745. |
Background
CD58, also known as lymphocyte function-associated antigen (LFA-3), is a 210 amino acid protein that belongs to the CD2 family of the immunoglobulin superfamily. CD58 is widely expressed on hematopoietic and non-hematopoietic human tissue and has been found on leukocytes, erythrocytes, endothelial cells, epithelial cells and fibroblasts of human origin. CD58 /LFA3 is ligand of the T-lymphocyte CD2 glycoprotein, which binds to CD2 (LFA-2) on T cells and is important in strengthening the adhesion between the T cells and Professional Antigen Presenting Cells.
Picture
Picture
Bioactivity


Immobilized CD58/LFA-3 His Tag, Human (Cat. No. UA010759) at 2.0μg/mL (100μL/well) can bind CD2/SRBC Fc Chimera, Human (Cat. No. UA010766) with EC50 of 86.40-97.74 ng/mL.
SDS-PAGE
2μg (R: reducing condition, N: non-reducing condition).
SEC-HPLC

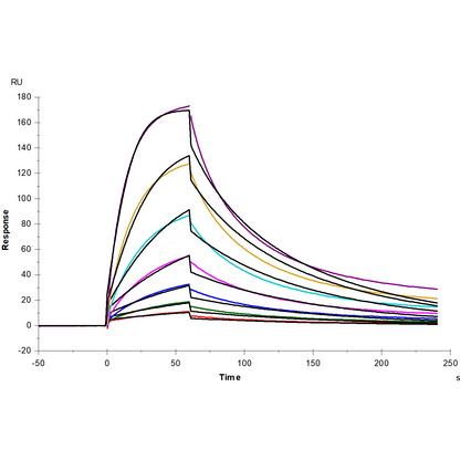
SPR

Anti-His antibody Immobilized on CM5 Chip captured CD58/LFA-3 His Tag, Human (Cat. No. UA010759), can bind CD2/SRBC Fc Chimera, Human (Cat. No. UA010766) with an affinity constant of 12.17 nM as determined in SPR assay.



