1μg (R: reducing condition, N: non-reducing condition).
Product Details
Product Details
Product Specification
Species | Mouse |
Antigen | CD47 |
Synonyms | MER6, IAP, OA3 |
Accession | Q61735 |
Amino Acid Sequence | Gln19-Lys140, with C-terminal 8*His |
Expression System | HEK293 |
Molecular Weight | 33-43kDa (Reducing) |
Purity | >95% by SDS-PAGE |
Endotoxin | <0.1EU/μg |
Conjugation | Unconjugated |
Tag | His Tag |
Physical Appearance | Lyophilized Powder |
Storage Buffer | PBS, pH7.4 |
Reconstitution | Reconstitute at 0.1-1 mg/ml according to the size in ultrapure water after rapid centrifugation. |
Stability & Storage | · 12 months from date of receipt, lyophilized powder stored at -20 to -80℃. · 3 months, -20 to -80℃ under sterile conditions after reconstitution. · 1 week, 2 to 8℃ under sterile conditions after reconstitution. · Please avoid repeated freeze-thaw cycles. |
Reference | 1.Brown E J. et al. (2001) Integrin-associated protein (CD47) and its ligands. Trends Cell Biol. 11(3): 130-135. |
Background
CD47, also known as Integrin-associated protein (IAP), is a typical representative of the "marker of self" of targets expressed by all types of cells. CD47 is a glycoprotein with an immunoglobulin variable N-terminal domain, five transmembrane domains, and a short C-terminal intracellular tail with four variably different splicing isomers, resulting in four isoforms. CD47 is an immune cell group that plays a major role in targeted tumor immunotherapy. CD47 expressed by cancer cells interacts with SIRP-α and SIRP-γ expressed by NK cells to protect cancer cells from phagocytosis and elimination. CD47 was highly expressed in a variety of solid tumor cells and malignant hematoma cells, and its expression level was positively correlated with disease progression.
Picture
Picture
SDS-PAGE

ELISA

Immobilized CD47 His Tag, Mouse (Cat. No. UA010446) at 2.0μg/mL (100μL/well) can bind SIRP-α/CD172A Fc Chimera, Mouse (Cat. No. UA010647) with EC50 of 27.10-36.13ng/mL .
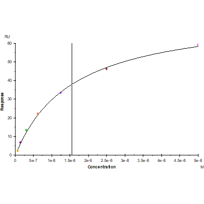
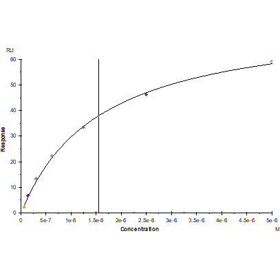
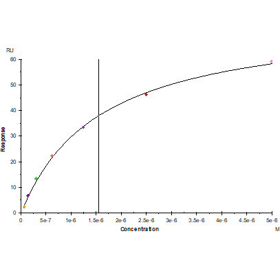
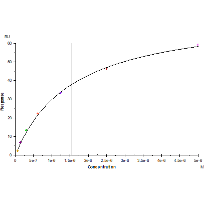
SPR


Protein A Chip captured SIRP-α/CD172A Fc Chimera, Mouse(Cat. No. UA010647), can bind CD47 His Tag, Mouse (Cat. No. UA010446) with an affinity constant of 1.56μM as determined in SPR assay.



