Product Details
Product Details
Product Specification
Species | Human |
Synonyms | CD47 ;antigen identified by monoclonal 1D8, Antigenic surface determinant protein OA3, CD47 antigen (Rh-related antigen, integrin-associated signal transducer), CD47 antigen, CD47 glycoprotein, CD47 molecule, CD47, IAP, IAPintegrin associated protein, Integrin-associated protein, leukocyte surface antigen CD47, MER6, MER6integrin-associated signal transducer, OA3, Protein MER6, Rh-related antigen |
Accession | Q08722 |
Amino Acid Sequence | Gln19-Pro139, with C-terminal His Tag |
Expression System | HEK293 |
Molecular Weight | 33-45 kDa(Reducing) |
Purity | >95%, by SDS-PAGE under reducing conditions |
Endotoxin | <0.2EU/μg |
Conjugation | Unconjugated |
Tag | His Tag |
Physical Appearance | Lyophilized Powder |
Storage Buffer | PBS pH7.2, 5% trehalose |
Reconstitution | Reconstitute at less than 1 mg/mL according to the size in ultrapure water after rapid centrifugation . |
Stability & Storage |
· 12 months from date of receipt, lyophilized powder stored at -20 to -80℃. · 3 months, -20 to -80℃ under sterile conditions after reconstitution. · 1 week, 2 to 8℃ under sterile conditions after reconstitution. · Please avoid repeated freeze-thaw cycles. |
Background
CD47 (Cluster of Differentiation 47), also known as integrin associated protein (IAP), is a transmembrane protein that in humans is encoded by the CD47 gene. It belongs to the immunoglobulin superfamily and partners with membrane integrins and also binds the ligands thrombospondin-1 (TSP-1) and signal-regulatory protein alpha (SIRPα). CD47 is involved in a range of cellular processes, including apoptosis, proliferation, adhesion, and migration. Furthermore, it plays a key role in immune and angiogenic responses. Also CD47 is ubiquitously expressed in human cells and has found to be overexpressed in many different tumor cells.
Picture
Picture
Bioactivity

SDS-PAGE

ELISA

Immobilized CD47 His Tag, Human (Cat. No. UA010014) at 2.0μg/mL (100μL/well) can bind Anti-Human CD47 Monoclonal Antibody (Lembio) with EC50 of 7.67-8.58ng/mL.

Immobilized SIRP-α Fc Chimera Protein, Human (Cat. No. UA010014) at 2.0μg/mL (100μL/well) can bind CD47 His Tag Protein, Human (Cat. No. UA010014) with EC50 of 0.77-0.97ng/mL.
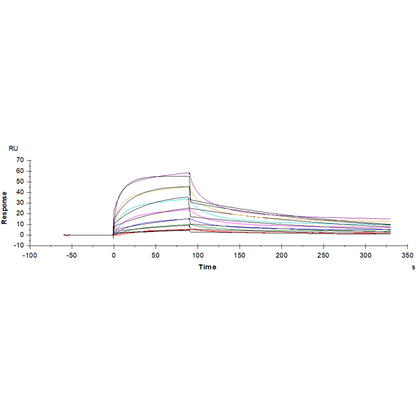
SPR

Anti-His antibody Immobilized on CM5 Chip captured CD47 His tag, Human (Cat. No. UA010014), can bind SIRP-α Fc Chimera, Human(Cat. No. UA010005) with an affinity constant of 3.151 nM as determined in SPR assay.




