Immobilized CD58/LFA-3 His Tag, Human (Cat. No. UA010759) at 2.0μg/mL (100μL/well) can bind CD2/SRBC Fc Chimera, Cynomolgus (Cat. No. UA010735) with EC50 of 0.14-0.22 μg/mL.
Product Details
Product Details
Product Specification
Species | Cynomolgus |
Synonyms | T11,T-Cell Surface Antigen CD2,LFA-2,CD2 Antigens,CD2,LFA-3 Receptor,CD2 Molecule,Rosette Receptor,SRBC,CD2 Antigen,CD2 Antigen (P50), Sheep Red Blood Cell Receptor,T-Cell Surface Antigen T11/Leu-5,Lymphocyte-Function Antigen-2,Erythrocyte Receptor |
Accession | Q6SZ61 |
Amino Acid Sequence | Lys25-Asp209, with C-hIgG1 Fc |
Expression System | HEK293 |
Molecular Weight | 60-65kDa (Reducing) |
Purity | >95% by SDS-PAGE |
Endotoxin | <0.1EU/μg |
Conjugation | Unconjugated |
Tag | Human Fc Tag |
Physical Appearance | Lyophilized Powder |
Storage Buffer | PBS, pH7.4. |
Reconstitution | Reconstitute at 0.1-1 mg/ml according to the size in ultrapure water after rapid centrifugation. |
Stability & Storage | · 12 months from date of receipt, lyophilized powder stored at -20 to -80℃. · 3 months, -20 to -80℃ under sterile conditions after reconstitution. · 1 week, 2 to 8℃ under sterile conditions after reconstitution. · Please avoid repeated freeze-thaw cycles. |
Reference | Hahn, W.C. et al. (1992). Science. 256:1805. McNerney ME, et al. (2006) The CD2 family of natural killer cell receptors. Curr Top Microbiol Immunol. 298: 91-120. |
Background
T-cell surface antigen CD2 is also known as Erythrocyte receptor, LFA-2, LFA-3 receptor, Rosette receptor, T-cell surface antigen T11/Leu-5 and SRBC, is a single-pass type I membrane protein found on the surface of T cells and natural killer (NK) cells. CD2 is a member of the immunoglobulin superfamily.CD2 interacts with lymphocyte function-associated antigen CD58 (LFA-3) and CD48/BCM1 to mediate adhesion between T-cells and other cell types. CD2 is implicated in the triggering of T-cells, the cytoplasmic domain is implicated in the signaling function . CD2 is implicated in the triggering of T-cells, the cytoplasmic domain of CD2 is implicated in the signaling function. The complex of CD2 and CD58 also plays an important role in enhancing the adhesion of T lymphocytes to target cells, and promoting hyperplasia and activation of T lymphocytes. As a cell surface glycoprotein, CD2 expressed on most human T cells and natural killer (NK) cells and plays an important role in mediating cell adhesion in both T-lymphocytes and in signal transduction.
Picture
Picture
Bioactivity

SDS-PAGE
1μg (R: reducing condition, N: non-reducing condition).
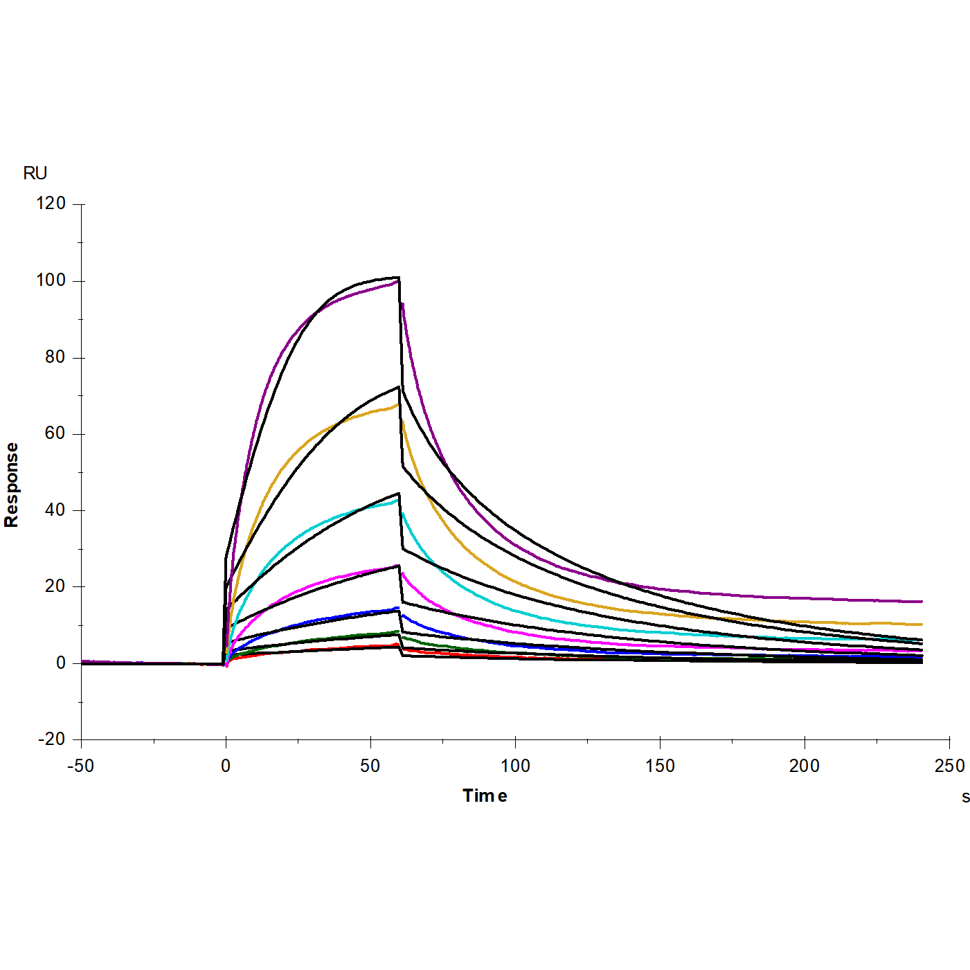
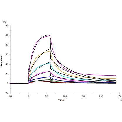
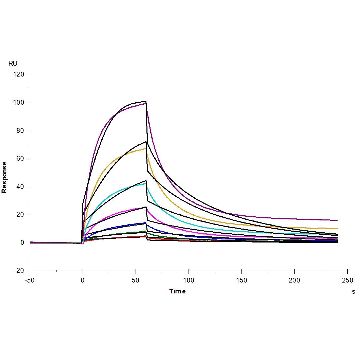
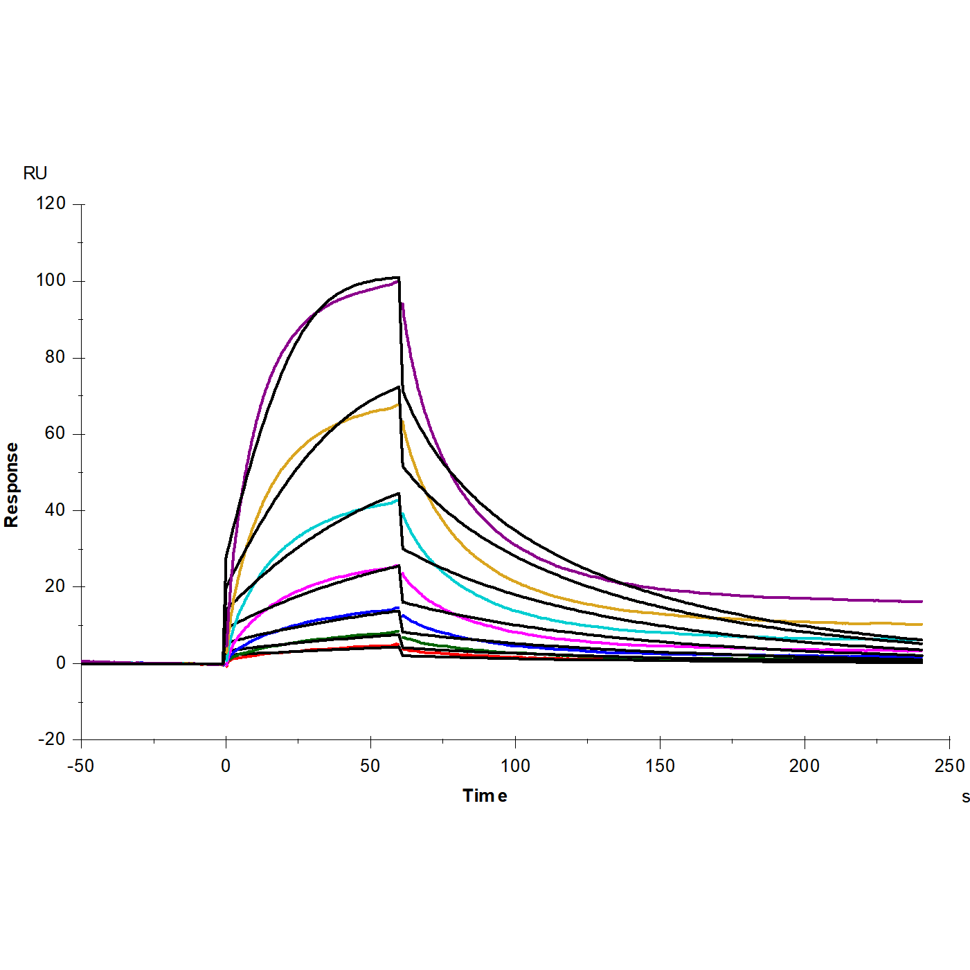
SPR

Anti-His antibody Immobilized on CM5 Chip captured CD58/LFA-3 His Tag, Human (Cat. No. UA010759), can bind CD2/SRBC Fc Chimera, Cynomolgus (Cat. No. UA010735) with an affinity constant of 20.90 nM as determined in SPR assay.

