1μg (R: reducing condition, N: non-reducing condition).
Product Details
Product Details
Product Specification
Species | Human |
Synonyms | CD24,CD24A |
Accession | P25063-1 |
Amino Acid Sequence | Ser27-Gly59, with C-terminal Human IgG1 Fc |
Expression System | HEK293 |
Molecular Weight | 43-50kDa (Reducing) |
Purity | >95% by SDS-PAGE |
Endotoxin | <0.1EU/μg |
Conjugation | Unconjugated |
Tag | Human Fc Tag |
Physical Appearance | Lyophilized Powder |
Storage Buffer | PBS, pH7.4. |
Reconstitution | Reconstitute at 0.1-1 mg/ml according to the size in ultrapure water after rapid centrifugation. |
Stability & Storage |
· 12 months from date of receipt, lyophilized powder stored at -20 to -80℃. · 3 months, -20 to -80℃ under sterile conditions after reconstitution. · 1 week, 2 to 8℃ under sterile conditions after reconstitution. · Please avoid repeated freeze-thaw cycles. |
Reference | 1.Ho IC, et al. (2009) GATA3 and the T-cell lineage: essential functions before and after T-helper-2-cell differentiation. Nat Rev Immunol. 9 (2): 125-35. 2.Matesanz-Isabel J, et al. (2011) New B-cell CD molecules. Immunology Letters.134 (2): 104-12. |
Background
Cluster of differentiation 24 is a mucin-type glycosylphosphatidylinositol-linked glycoprotein expressed on the surface of B-cells. High rate of CD24 expressions have been found in epithelial ovarian cancer, breast cancer, non-small cell lung cancer, prostate cancer and pancreatic cancer. It is involved in molecular adhesion and metastatic tumor spread and serve as a normal receptor for P-selectin. The CD24 / P-selectin pathway could be important in disseminating tumor cells by facilitating the interaction with platelet and endothelial cells. It has also been considered as a tumor marker.
Picture
Picture
SDS-PAGE
RP-HPLC

ELISA

Immobilized CD24 Fc Chimera Protein, Human (Cat. No. UA010702) at 8.0μg/mL (100μL/well) can bind CD24 Recombinant Rabbit mAb (S-974-13) (Cat. No. S0B0725) with EC50 of 1.30-2.94 ng/mL.

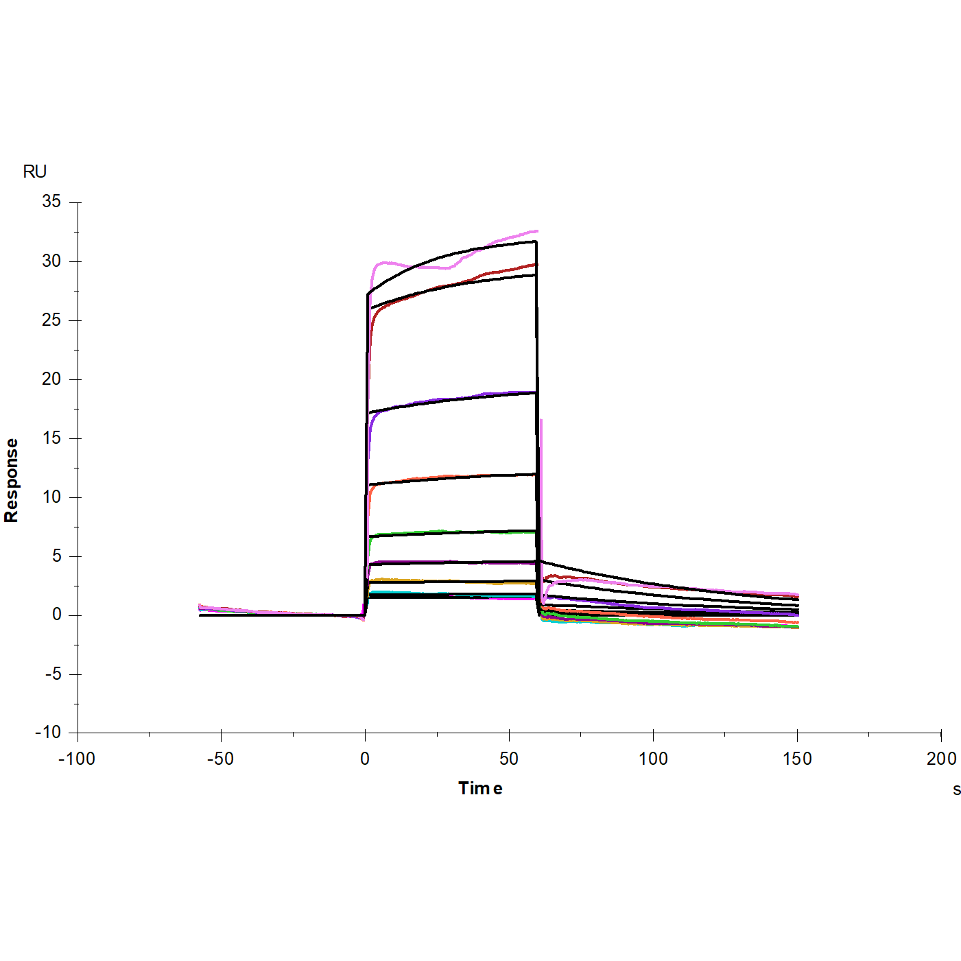
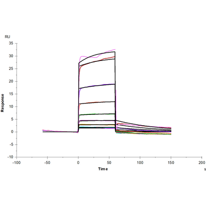
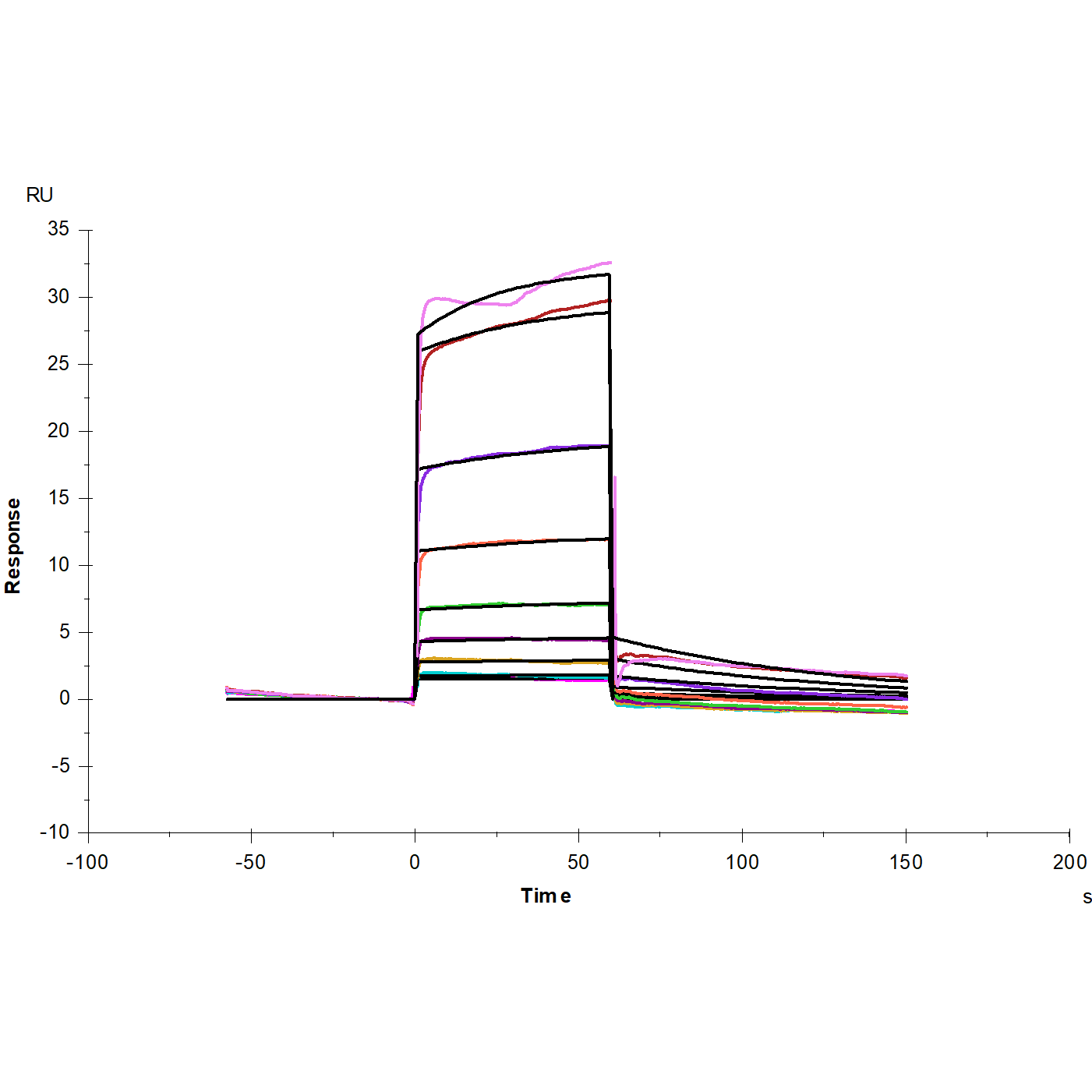
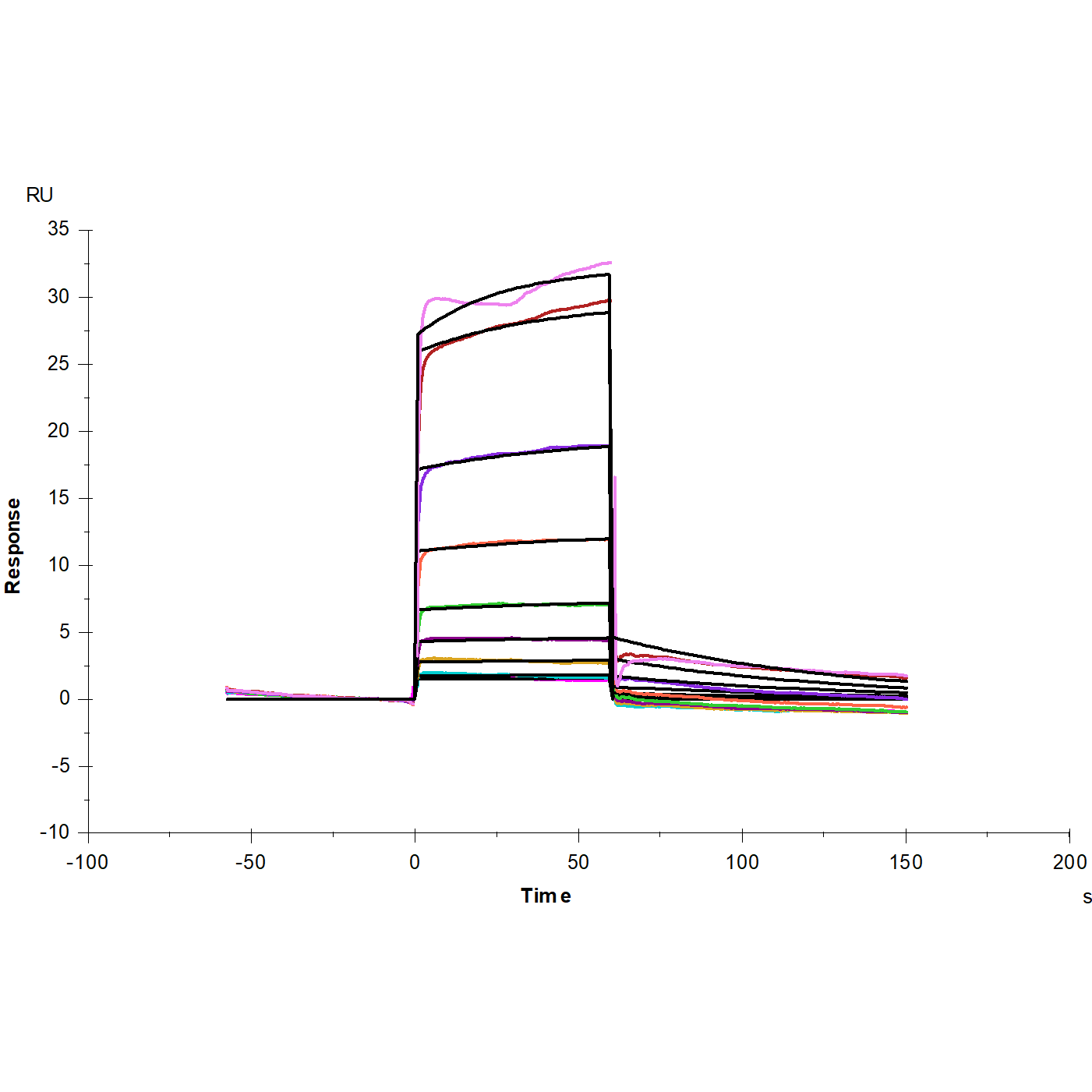
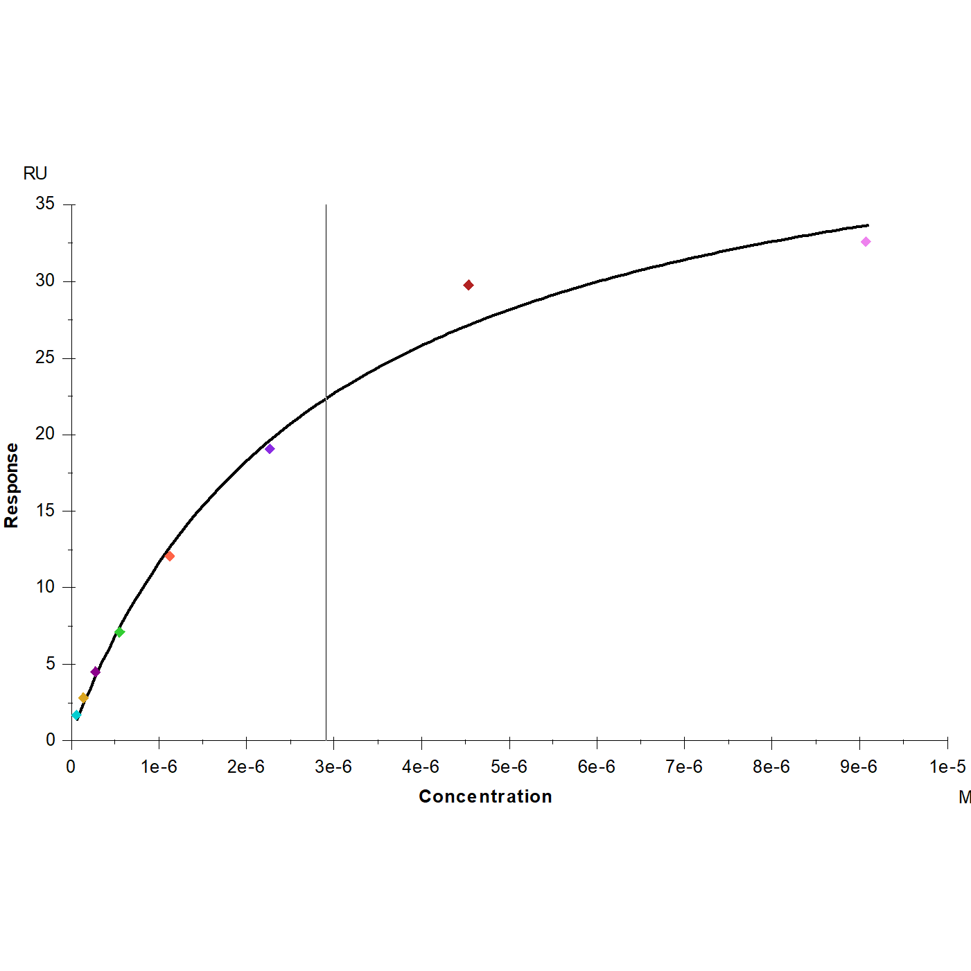
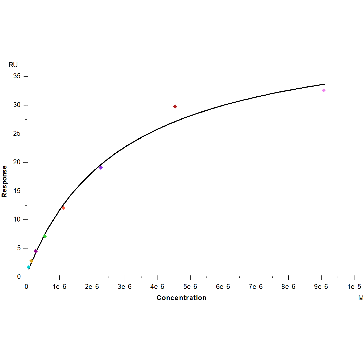
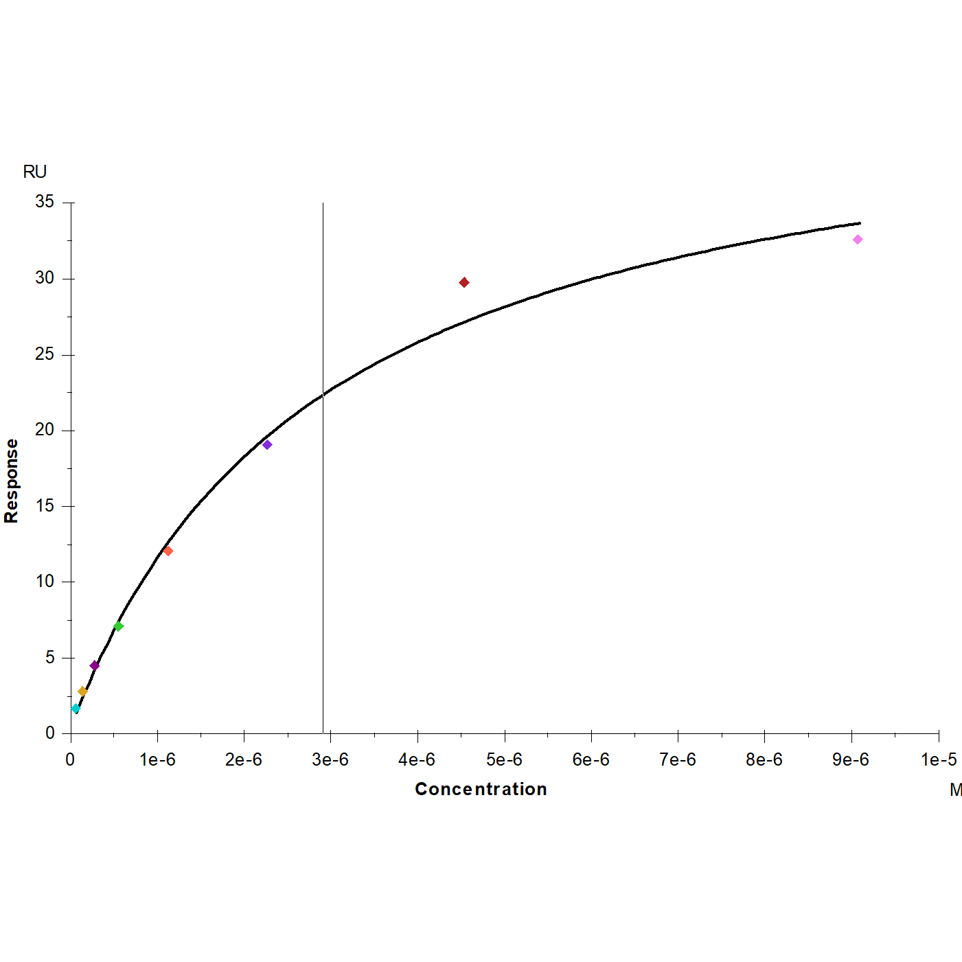
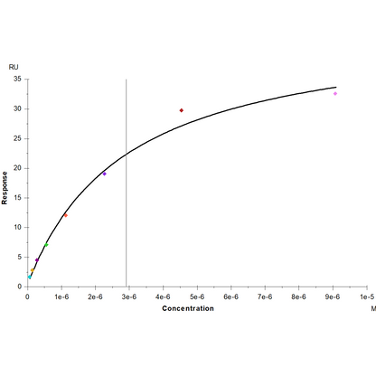
SPR


CM5 Chip captured CD24 Fc Chimera, Human (Cat. No. UA010702), can bind Siglec-10 mFc Chimera, Human (Cat. No. UA010116) with an affinity constant of 2.91 μM as determined in SPR assay.




