Product Details
Product Details
Product Specification
Species | Human |
Antigen | CD200R |
Synonyms | Cell surface glycoprotein OX2 receptor 1,CD200 cell surface glycoprotein receptor |
Accession | Q8TD46 |
Amino Acid Sequence | Ala27-Leu266, with C-terminal 8*His AAQPNNSLMLQTSKENHALASSSLCMDEKQITQNYSKVLAEVNTSWPVKMATNAVLCCPPIALRNLIIITWEIILRGQPSCTKAYRKETNETKETNCTDERITWVSRPDQNSDLQIRTVAITHDGYYRCIMVTPDGNFHRGYHLQVLVTPEVTLFQNRNRTAVCKAVAGKPAAHISWIPEGDCATKQEYWSNGTVTVKSTCHWEVHNVSTVTCHVSHLTGNKSLYIELLPVPGAKKSAKLGGGSHHHHHHHH |
Expression System | HEK293 |
Molecular Weight | 45-70kDa (Reducing) |
Purity | >95% by SDS-PAGE |
Endotoxin | <0.1EU/μg |
Conjugation | Unconjugated |
Tag | His Tag |
Physical Appearance | Lyophilized Powder |
Storage Buffer | PBS, pH7.4 |
Reconstitution | Reconstitute at 0.1-1 mg/ml according to the size in ultrapure water after rapid centrifugation. |
Stability & Storage | · 12 months from date of receipt, lyophilized powder stored at -20 to -80℃. · 3 months, -20 to -80℃ under sterile conditions after reconstitution. · 1 week, 2 to 8℃ under sterile conditions after reconstitution. · Please avoid repeated freeze-thaw cycles. |
Reference | 1. Rosenblum, M.D. et al. (2006) J. Dermatol. Sci. 41:165.2. Gorczynski, R.M. (2005) Curr. Opin. Invest. Drugs 6:483. 3. Barclay, A.N. et al. (2002) Trends Immunol. 23:285. |
Background
CD200 R1, also known as OX-2 receptor, is a 90 kDa, type I transmembrane protein that belongs to the immunoglobulin superfamily. CD200 R1 is important in the regulation of myeloid cell activity.CD200 and its receptor CD200R are both type-1 membrane glycoproteins, which are members of the immunoglobulin superfamily (IgSF). Besides the inhibitory effect on macrophages, CD200/CD200R also play an important role in regulating the regulatory T cells, allergic reaction, autoimmune diseases, allograft, neurological diseases and other autoimmune-related diseases. The interaction between CD200, which is mainly present in neurons but also in astrocytes, and CD200R1, which is mainly present in microglia, is one of the mechanisms involved in keeping the microglial proinflammatory phenotype under control in physiological conditions. Limits inflammation by inhibiting the expression of pro-inflammatory molecules including TNF-alpha, interferons, and inducible nitric oxide synthase (iNOS) in response to selected stimuli.
Picture
Picture
SDS-PAGE

ELISA

Immobilized CD200R His Tag, Human (Cat. No. UA010500) at 0.5μg/mL (100μL/well) can bind CD200 Fc Chimera, Human (Cat. No. UA010512) with EC50 of 2.29-3.65ng/ml.
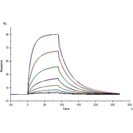
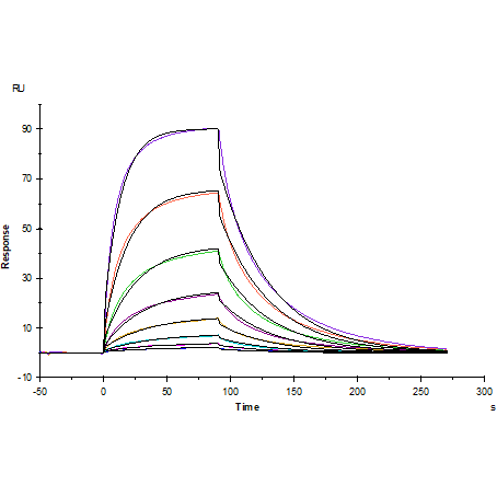
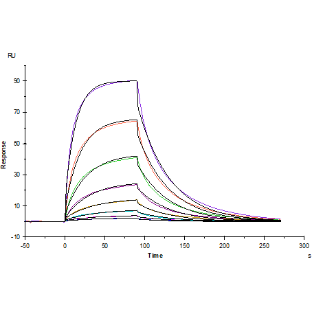
SPR

Protein A Chip captured CD200 Fc Chimera, Human (Cat. No. UA010512), can bind CD200R His Tag, Human(Cat. No. UA010500) with an affinity constant of 29.98nM as determined in SPR assay.


