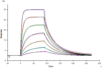
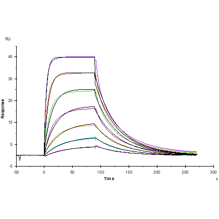
Protein A Chip captured CD200R Fc Chimera, Human (Cat. No. UA010586), can bind CD200 His Tag, Human(Cat. No. UA010545) with an affinity constant of 28.34nM as determined in SPR assay.
Product Details
Product Details
Product Specification
Species | Human |
Antigen | CD200 |
Synonyms | MOX1, MOX2, MRC, OX-2, My033 |
Accession | P41217 |
Amino Acid Sequence | Gln31-Gly232, with C-terminal 8*His QVQVVTQDEREQLYTPASLKCSLQNAQEALIVTWQKKKAVSPENMVTFSENHGVVIQPAYKDKINITQLGLQNSTITFWNITLEDEGCYMCLFNTFGFGKISGTACLTVYVQPIVSLHYKFSEDHLNITCSATARPAPMVFWKVPRSGIENSTVTLSHPNGTTSVTSILHIKDPKNQVGKEVICQVLHLGTVTDFKQTVNKGGGGSHHHHHHHH |
Expression System | HEK293 |
Molecular Weight | 35-45kDa |
Purity | >95% by SDS-PAGE |
Endotoxin | <0.1EU/μg |
Conjugation | Unconjugated |
Tag | His Tag |
Physical Appearance | Lyophilized Powder |
Storage Buffer | PBS, pH7.4 |
Reconstitution | Reconstitute at 0.1-1 mg/ml according to the size in ultrapure water after rapid centrifugation. |
Stability & Storage | · 12 months from date of receipt, lyophilized powder stored at -20 to -80℃. · 3 months, -20 to -80℃ under sterile conditions after reconstitution. · 1 week, 2 to 8℃ under sterile conditions after reconstitution. · Please avoid repeated freeze-thaw cycles. |
Reference | 1. Barclay A.N., Wright G.J., Brooke G., Brown M.H. CD200 and membrane protein interactions in the control of myeloid cells. Trends Immunol. 2002; 23:285-290. |
Background
CD200 is a type-1 cell membrane glycoprotein of the immunoglobulin supergene family, present on both cells with myeloid/lymphoid origin as well as on epithelial cells and many cancer cells. CD200, also known as MRC OX-2, is a highly conserved, 48 kDa type 1a transmembrane glycoprotein related structurally to the B7 family of costimulatory receptors. The molecule itself consists of an IgSF extracellular domain (single V + C), a single transmembrane region and a short cytoplasmic tail lacking signaling motifs. The molecule is expressed by resting dendritic cells, thymocytes, endothelial cells, neurons and osteoblast precursors (OBp), as well as by activated B and T cells (including αβTCR+ and most γδTCR+ cells). CD200 interacts with a structurally related receptor (CD200R) expressed mainly on myeloid cells and is involved in regulation of macrophage and mast cell function. OX-2 / CD200 and CD200R associate via their respective N-terminal Ig-like domains. CD200 also plays an important role in prevention of graft rejection, autoimmune diseases and spontaneous abortion.
Picture
Picture
Bioactivity


Immobilized CD200 His Tag, Human (Cat. No. UA010545) at 2.0μg/mL (100μL/well) can bind CD200R Fc Chimera, Cynomolgus (Cat. No. UA010521) with EC50 of 0.0066-0.0092μg/ml.

Immobilized CD200 His Tag, Human (Cat. No. UA010545) at 2.0μg/mL (100μL/well) can bind CD200R Fc Chimera, Human (Cat. No. UA010586) with EC50 of 0.0053-0.0082μg/ml.
SDS-PAGE

1μg (R: reducing conditions, N: non-reducing conditions).



