Skip to product information
1 of 3

B7-2/CD86 Fc Chimera Protein, Human

B7-2/CD86 Fc Chimera Protein, Human

Catalog Number: UA010187 Reactivity: Human Conjugation: Unconjugated Brand: UA BIOSCIENCE
Price:
Regular price $600 USD
Regular price Sale price $600 USD
Size:
For shipping services or bulk orders, you may request a quotation.
Secure checkout with
View full details

Product Details

Product Specification


Species Human
Synonyms CD28LG2, B7-2, CD86, B70, LAB72, MGC34413
Accession P42081
Amino Acid Sequence Leu26-Pro247, with C-hIgG1 Fc
Expression System HEK293
Molecular Weight 72-90kDa (Reducing)
Purity

>95% by SDS-PAGE

Endotoxin <0.1EU/μg
Conjugation Unconjugated
Tag Human Fc Tag
Physical Appearance Lyophilized Powder
Storage Buffer PBS, pH7.4
Reconstitution Reconstitute at 0.1-1 mg/ml according to the size in ultrapure water after rapid centrifugation.
Stability & Storage · 12 months from date of receipt, lyophilized powder stored at -20 to -80℃.
· 3 months, -20 to -80℃ under sterile conditions after reconstitution.
· 1 week, 2 to 8℃ under sterile conditions after reconstitution.
· Please avoid repeated freeze-thaw cycles.

Background

CD86 is a well-known costimulatory molecule in its interaction with CD28 and/or CTLA present on T cells, and is essential for full activation of naive T-cell and subsequent differentiation. Usually, the B7 molecules are expressed mainly on APCs and B cells and in specific conditions on other activated cells. These costimulatory molecules are involved in the development of allergic inflammation and airways hyperreactivity (AHR) in allergen-challenged mice. Activated T cells, CD4+CD25+, express CD86 in the first 60 minutes after the specific inhalation exposure. These T cells can be relevant in IgE mediated allergic reaction possibly by an autocrine co-stimulation via CD28/CTLA activation pathway. The blockage of the expression of CD86 could be a potential therapeutical target to reduce the magnitude or the progression of the allergic reaction.

Picture

Bioactivity

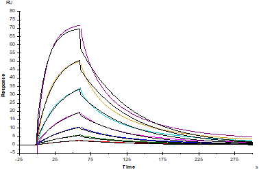
Anti-His antibody Immobilized on CM5 Chip captured CTLA-4 His Tag, Human (Cat. No. UA010077), can bind B7-2/CD86 Fc Chimera, Human (Cat. No. UA010187) with an affinity constant of 0.12μM as determined in SPR assay.
Immobilized CTLA-4 His Tag, Human (Cat. No. UA010077) at 1.5μg/mL (100μL/well) can bind B7-2/CD86 Fc Chimera, Human (Cat. No. UA010187) with EC50 of 0.074-0.094μg/ mL

SDS-PAGE

2μg (R: reducing conditions, N: non-reducing conditions).

Customer Reviews

Be the first to write a review
0%
(0)
0%
(0)
0%
(0)
0%
(0)
0%
(0)