Product Details
Product Details
Product Specification
Species | Human |
Accession | P33681-1 |
Amino Acid Sequence | Val35-Asn242, with C-terminal 10*His VIHVTKEVKEVATLSCGHNVSVEELAQTRIYWQKEKKMVLTMMSGDMNIWPEYKNRTIFDITNNLSIVILALRPSDEGTYECVVLKYEKDAFKREHLAEVTLSVKADFPTPSISDFEIPTSNIRRIICSTSGGFPEPHLSWLENGEELNAINTTVSQDPETELYAVSSKLDFNMTTNHSFMCLIKYGHLRVNQTFNWNTTKQEHFPDNGGGSHHHHHHHHHH |
Expression System | HEK293 |
Molecular Weight | 43-55kDa (Reducing) |
Purity | >95% by SDS-PAGE |
Endotoxin | <0.1EU/μg |
Conjugation | Unconjugated |
Tag | His Tag |
Physical Appearance | Lyophilized Powder |
Storage Buffer | PBS, pH7.4 |
Reconstitution | Reconstitute at 0.1-1 mg/ml according to the size in ultrapure water after rapid centrifugation. |
Stability & Storage | · 12 months from date of receipt, lyophilized powder stored at -20 to -80℃. · 3 months, -20 to -80℃ under sterile conditions after reconstitution. · 1 week, 2 to 8℃ under sterile conditions after reconstitution. · Please avoid repeated freeze-thaw cycles. |
Background
As the first identified B7 family member, CD80 is widely expressed in a broad spectrum of tissues, even on some malignant tumor cells, thereby suggesting the potential mechanism of immune evasion of tumor cells.CD80 is recognized as one of the most potent costimulatory molecules by which immune cells limit malignant growth. It is upregulated upon cell stress and it is critical for efficacious immune surveillance during carcinogenesis. Low surface expression of CD80 was reported as an immune escape mechanism of colon carcinoma; on the other hand, its expression resulted enhanced in high-frequency microsatellite instability (MSI) colorectal cancers, a CRC subtype which is highly immunogenic and associated with a better prognosis. Both in vivo and in vitro studies showed that the upregulation of CD80 on tumor cell surface successfully activates antitumor immune responses, while its expression is frequently lost during tumor progression probably due to selective pressure by the immune system. Thus, to develop effective approaches for cancer immunotherapy, strategies for enhancing CD80 expression in tumors are urgently required.
Picture
Picture
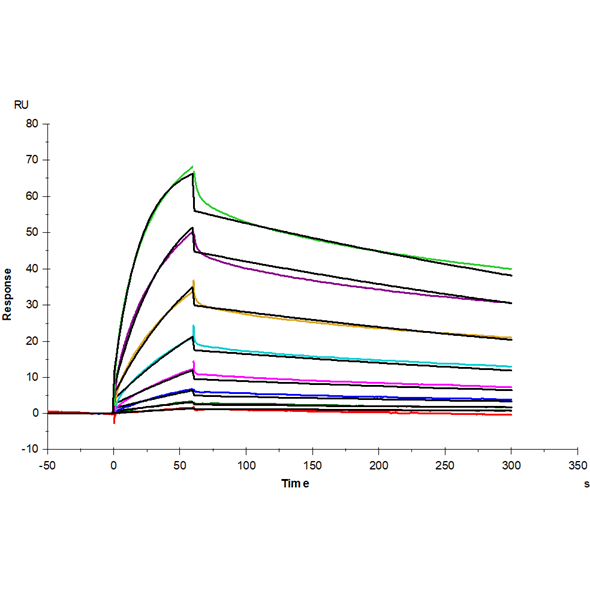
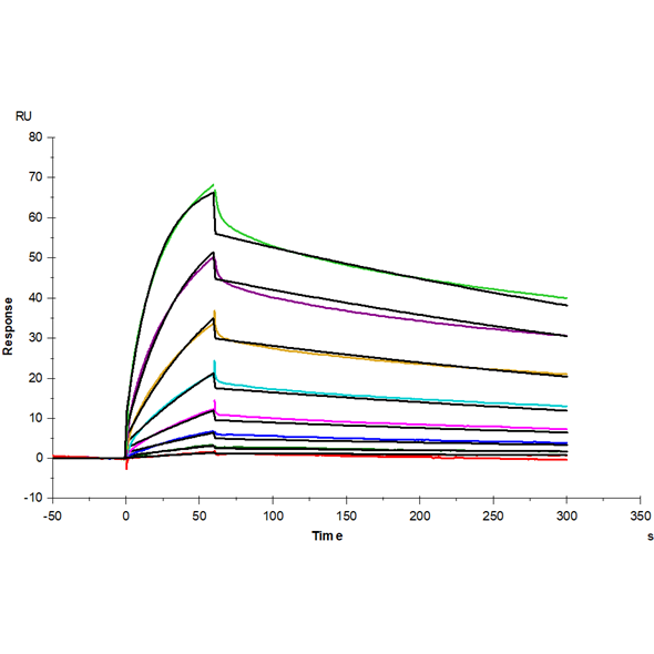
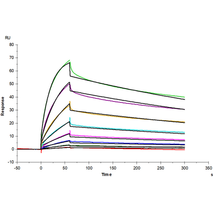
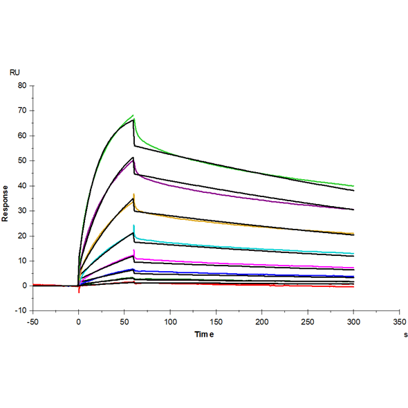
Bioactivity


SDS-PAGE



