Product Details
Product Details
Product Specification
Species | Human |
Synonyms | Angiopoietin-like 4/ANGPTL4 His Tag, Human |
Accession | Q9BY76-1 |
Amino Acid Sequence | Pro166-Ser406, with C-terminal 8*His PEMAQPVDPAHNVSRLHRLPRDCQELFQVGERQSGLFEIQPQGSPPFLVNCKMTSDGGWTVIQRRHDGSVDFNRPWEAYKAGFGDPHGEFWLGLEKVHSITGDRNSRLAVQLRDWDGNAELLQFSVHLGGEDTAYSLQLTAPVAGQLGATTVPPSGLSVPFSTWDQDHDLRRDKNCAKSLSGGWWFGTCSHSNLNGQYFRSIPQQRQKLKKGIFWKTWRGRYYPLQATTMLIQPMAAEAASGGGSHHHHHHHH |
Expression System | HEK293 |
Molecular Weight | 35-42 kDa(Reducing) |
Purity | >95% by SDS-PAGE |
Endotoxin | <0.1EU/μg |
Conjugation | Unconjugated |
Physical Appearance | Lyophilized Powder |
Storage Buffer | PBS, pH7.4 |
Reconstitution | Reconstitute at 0.1-1 mg/ml according to the size in ultrapure water after rapid centrifugation. |
Stability & Storage |
· 12 months from date of receipt, lyophilized powder stored at -20 to -80℃. · 3 months, -20 to -80℃ under sterile conditions after reconstitution. · 1 week, 2 to 8℃ under sterile conditions after reconstitution. · Please avoid repeated freeze-thaw cycles. |
Background
Angiopoietin-like 4 (ANGPTL4) is also known as , ARP4, PGAR. ANGPTL4 contains one fibrinogen C-terminal domain. ANGPTL4 is a homooligomer, and the homooligomer undergoes proteolytic processing to release its carboxyl fibrinogen-like domain, which circulates as a monomer. The homooligomer unprocessed form is able to interact with the extracellular matrix. ANGPTL4 may act as a regulator of angiogenesis and modulate tumorigenesis. ANGPTL4 inhibits proliferation, migration, and tubule formation of endothelial cells and reduces vascular leakage. ANGPTL4 may exert a protective function on endothelial cells through an endocrine action.
Picture
Picture
SDS-PAGE

ELISA

Immobilized Angiopoietin-like 4/ANGPTL4 His Tag, Human (Cat. No. UA010056) at 2.0μg/mL (100μL/well) can bind LILRB2/CD85d/ILT4 Fc Chimera, Human (Cat. No. UA010037) with EC50 of 0.087-0.14 μg/mL.
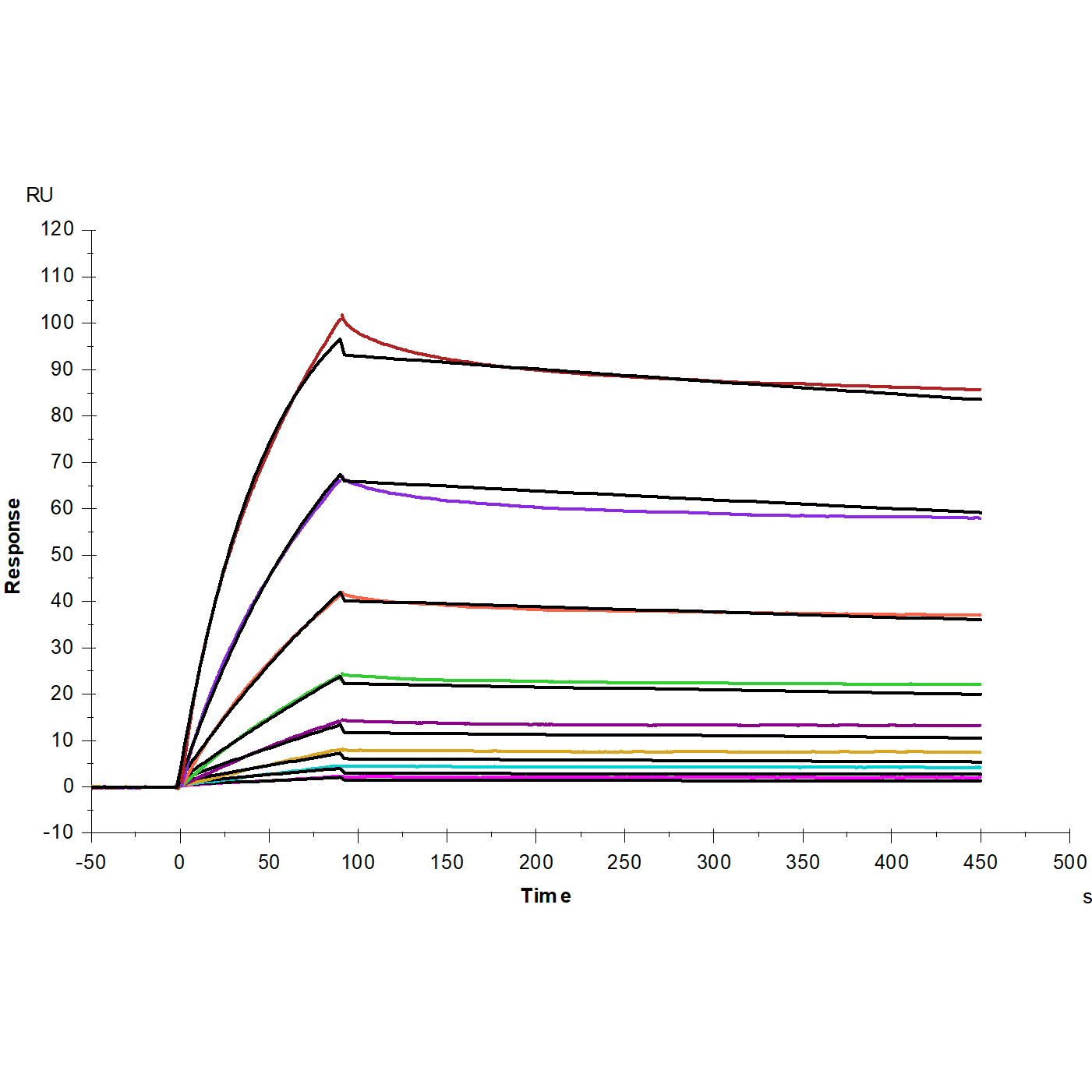
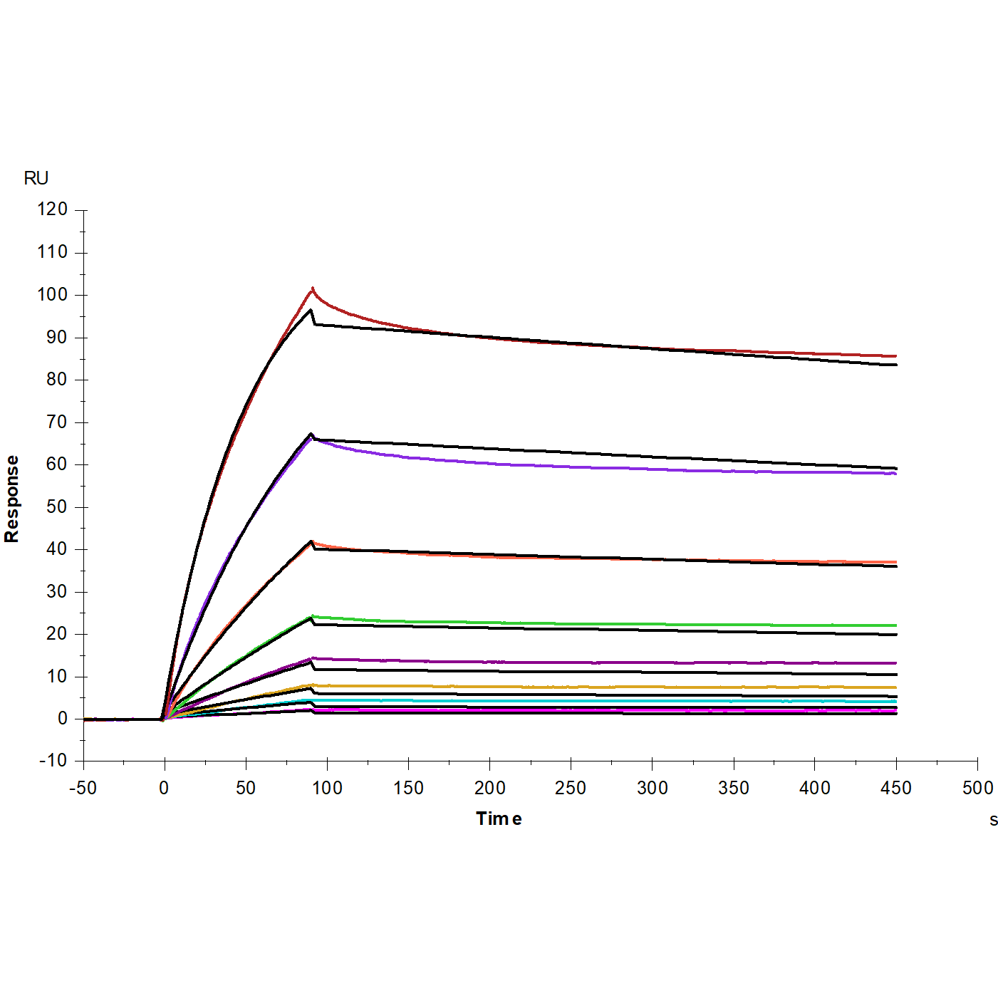
SPR

Protein A Chip captured LILRB2/CD85d/ILT4 Fc Chimera, Human (Cat. No. UA010037), can bind Angiopoietin-like 4/ANGPTL4 His Tag, Human (Cat. No. UA010056) with an affinity constant of 30.72nM as determined in SPR assay.


