Immobilized ALCAM/CD166 Fc Chimera Protein, Human (Cat. No. UA011127) at 2.0μg/mL (100μL/well) can bind Biotinylated Human CD6, hFc tag with EC50 of 58.06-74.60 ng/mL.
Product Details
Product Details
Product Specification
Species | Human |
Synonyms | CD166 antigen,Activated leukocyte cell adhesion molecule,CD166,ALCAM,MEMD,Activated Leucocyte Cell Adhesion Molecule,Activated-Leukocyte Cell Adhesion Molecule |
Accession | Q13740-1 |
Amino Acid Sequence | Trp28-Ala526 with Human IgG1 Fc at C-Terminus |
Expression System | HEK293 |
Molecular Weight | 90-120kDa (Reducing) |
Purity | >95% by SDS-PAGE &>90% by SEC-HPLC |
Endotoxin | <0.1EU/μg |
Conjugation | Unconjugated |
Tag | Human IgG1 Fc |
Physical Appearance | Lyophilized Powder |
Storage Buffer | PBS, PH7.4, 5% trehalose |
Reconstitution | Reconstitute at 0.1-1 mg/ml according to the size in ultrapure water after rapid centrifugation. |
Stability & Storage | · 12 months from date of receipt, lyophilized powder stored at -20 to -80℃. |
Reference | 1.Swart GW. (2002) Activated leukocyte cell adhesion molecule (CD166/ALCAM): developmental and mechanistic aspects of cell clustering and cell migration. Eur J Cell Biol. 81(6): 313-21. |
Background
Activated Leukocyte Cell Adhesion Molecule (ALCAM), also known as Cluster of Differentiation 166 (CD166), is a type I transmembrane cell adhesion molecule belonging to the immunoglobulin (Ig) superfamily. It acts as a ligand for CD6 and is expressed on T lymphocytes. The interaction between ALCAM and CD6 is essential for T cell development, regulation, and for the binding of T- and B-cells to activated leukocytes.
ALCAM is expressed in various tissues and is typically restricted to cell subsets involved in dynamic growth and/or migration, including neural development, branching organ development, hematopoiesis, immune response, and tumor progression. High expression levels of ALCAM on melanoma cell lines appear to promote metastasis, while in breast cancer, it has been associated with anti-metastatic activity. Additionally, ALCAM may influence the expression or adhesion of the neuronal adhesion molecule NCAM-L1, as observed in both the developing retina and invasive melanoma.
Picture
Picture
SDS-PAGE
SEC-HPLC
ELISA

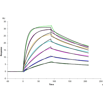
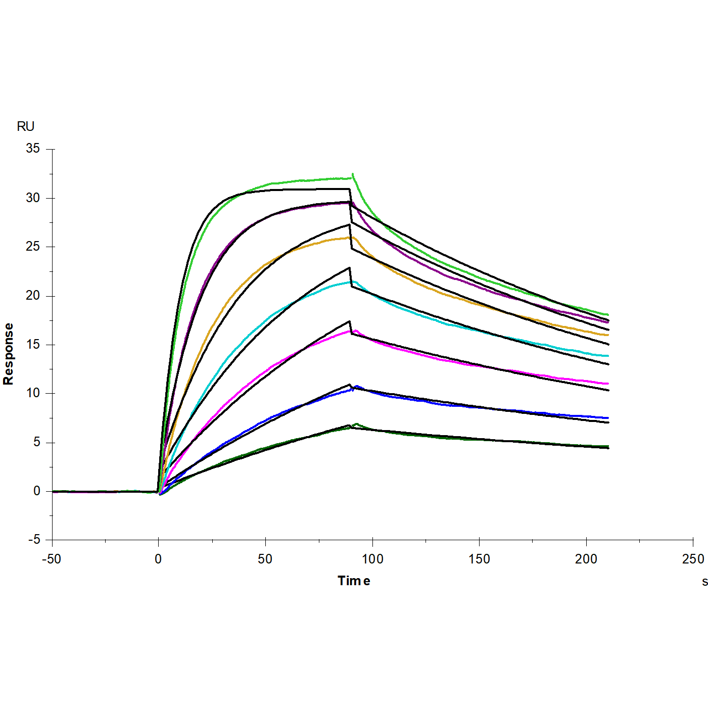
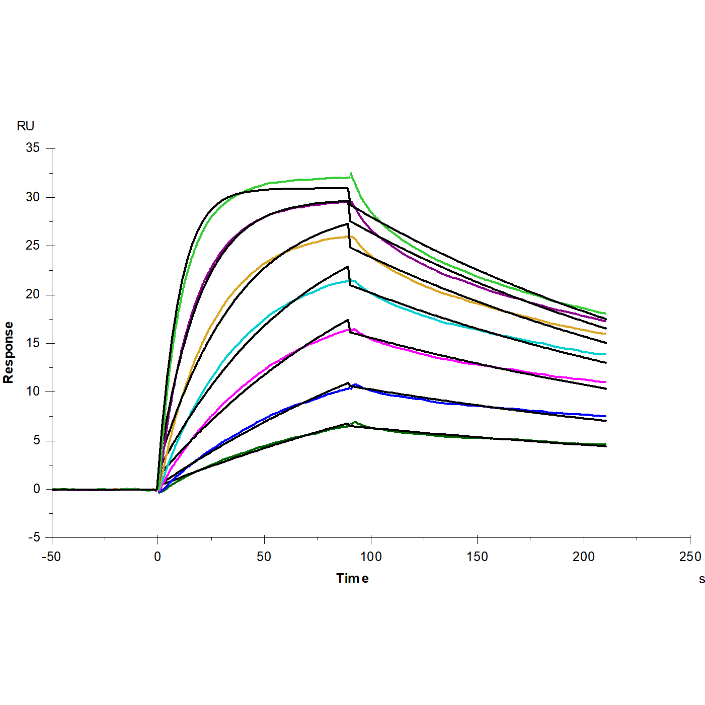
SPR

Anti-His antibody Immobilized on CM5 Chip captured Human CD6, His tag (Cat. No. S0A1037), can bind ALCAM/CD166 Fc Chimera Protein, Human (Cat. No. UA011127) with an affinity constant of 1.31 nM as determined in SPR assay.

