1μg (R: reducing conditions, N: non-reducing conditions).
Product Details
Product Details
Product Specification
| Species | Mouse |
| Synonyms | Activin RIIA, ACTRIIA, Activin receptor type IIA, Activin RIIA |
| Accession | P27038 |
| Amino Acid Sequence | Ala20-Pro134, with C-mIgG2a Fc |
| Expression System | HEK293 |
| Molecular Weight | 45-65kDa (Reducing) |
| Purity | >95% by SDS-PAGE |
| Endotoxin | <0.1EU/μg |
| Conjugation | Unconjugated |
| Tag | Mouse Fc Tag |
| Physical Appearance | Lyophilized Powder |
| Storage Buffer | PBS, pH7.4 |
| Reconstitution | Reconstitute at 0.1-1 mg/ml according to the size in ultrapure water after rapid centrifugation. |
| Stability & Storage |
· 12 months from date of receipt, lyophilized powder stored at -20 to -80℃. · 3 months, -20 to -80℃ under sterile conditions after reconstitution. · 1 week, 2 to 8℃ under sterile conditions after reconstitution. · Please avoid repeated freeze-thaw cycles. |
Background
Activin receptor type-2A (ACVR2A) is also known as Activin receptor type IIA, ACTR-IIA, ACTRIIA and ACVR2, which is single-pass type I membrane protein. They function through heteromeric complexes of type I and type II serine/threonine kinase receptors. Dimeric ligands bind to a type II receptor, such as Activin Receptor IIA (ActRIIA), which then associates with a type I receptor to initiate signal transduction. On ligand binding, ACVR2A forms a receptor complex consisting of two type II and two type I transmembrane serine/threonine kinases. Type II receptors phosphorylate and activate type I receptors which autophosphorylate, then bind and activate SMAD transcriptional regulators. ACVR2A is a receptor for activin A, activin B and inhibin A as well. Mature human ActRIIA is a 70 kDa glycoprotein that consists of a 116 amino acid (aa) extracellular domain (ECD), a 26 aa transmembrane segment, and a 352 aa cytoplasmic region that includes the kinase domain and a PDZ-binding motif. Activin proteins are involved in a wide range of biological processes including mesoderm induction, neural cell differentiation, bone remodeling, hematopoiesis, the regulation of reproductive physiology, inflammation, and carcinogenesis.
Picture
Picture
SDS-PAGE

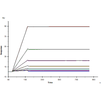
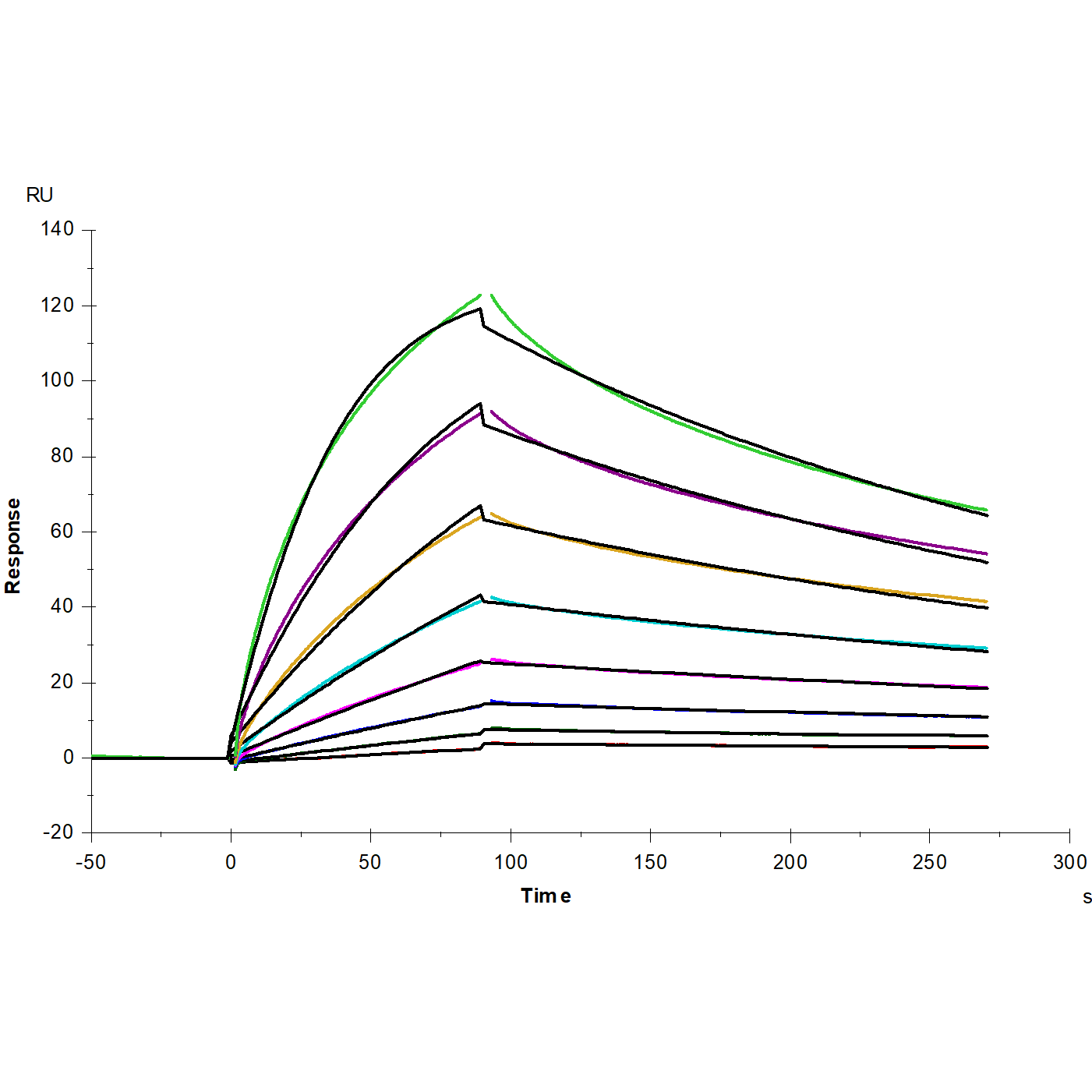
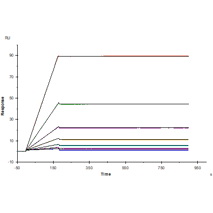
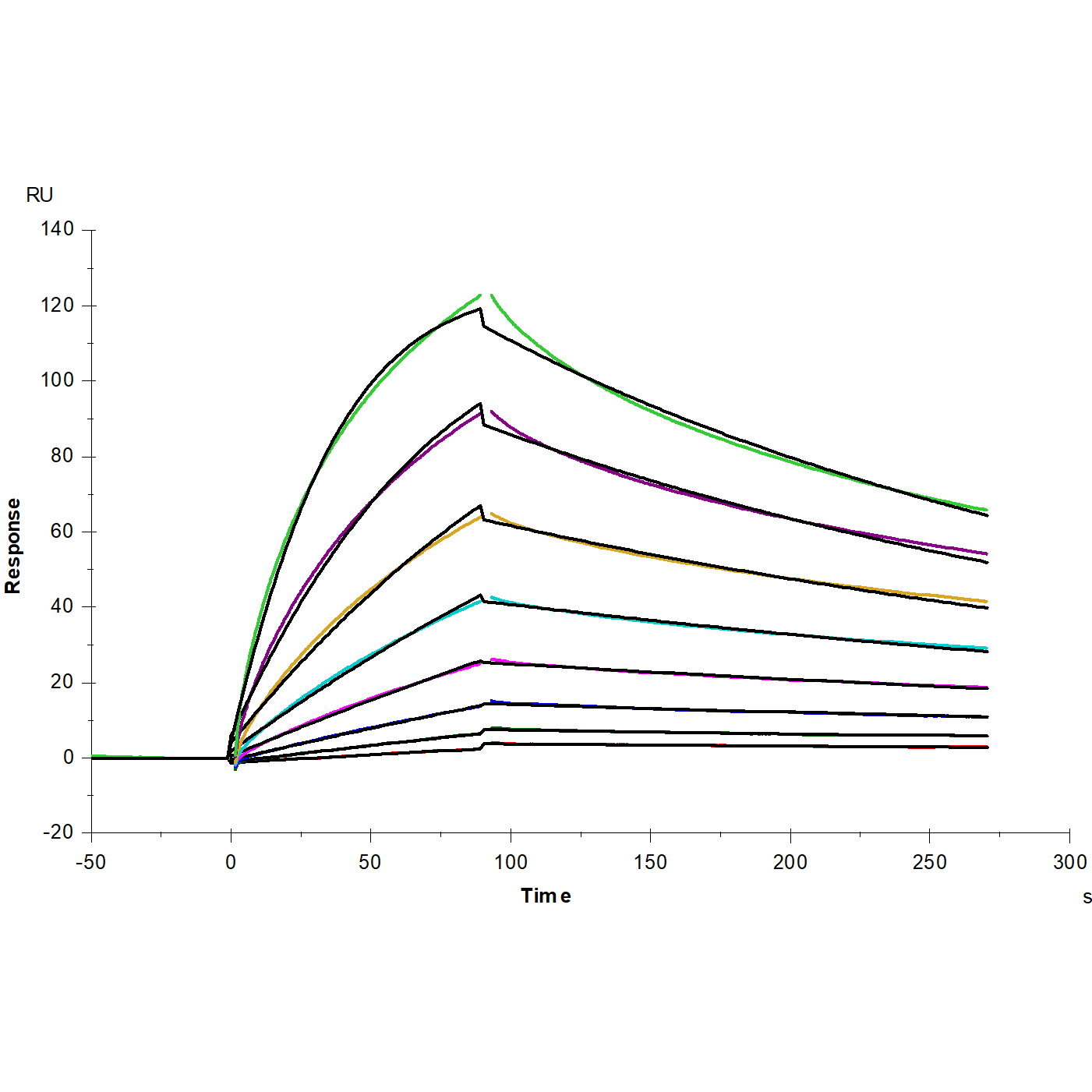
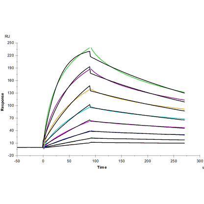
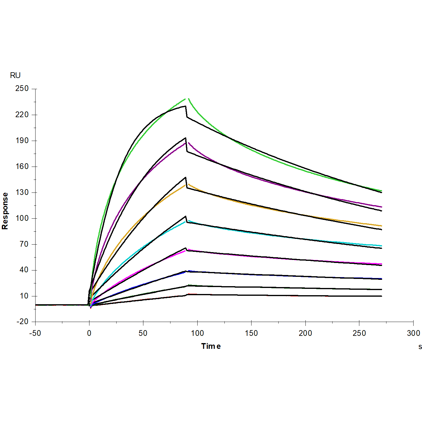
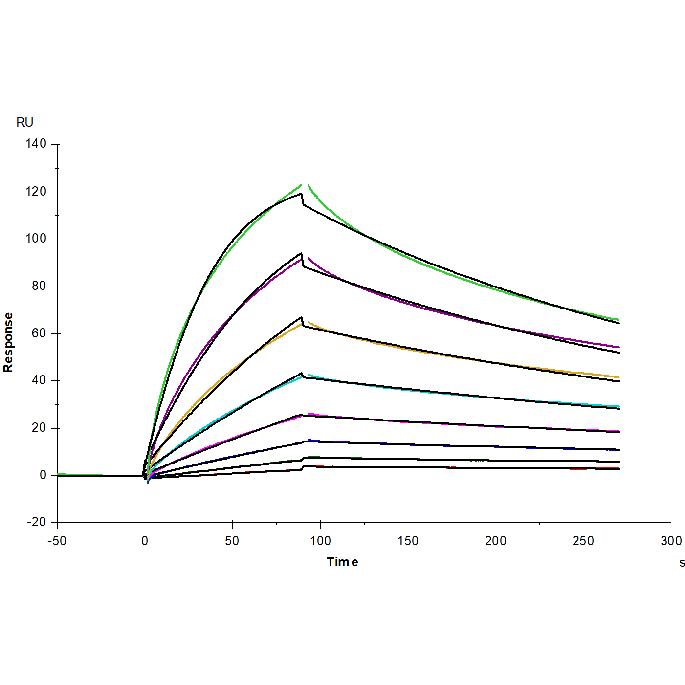
SPR

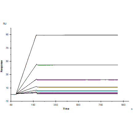
CM5 Chip captured Recombinant Human/Mouse/Rat Activin A, can bind ACVR2A mFc Chimera, Mouse(Cat. No. UA010201) with an affinity constant of 38.25pM as determined in SPR assay.

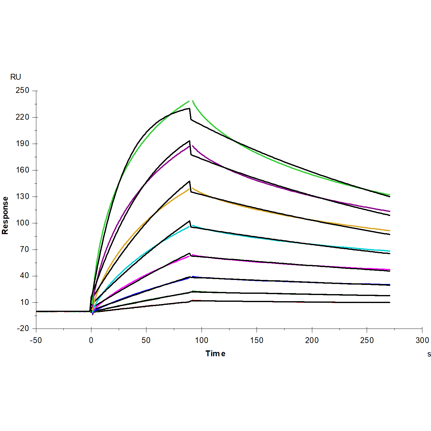
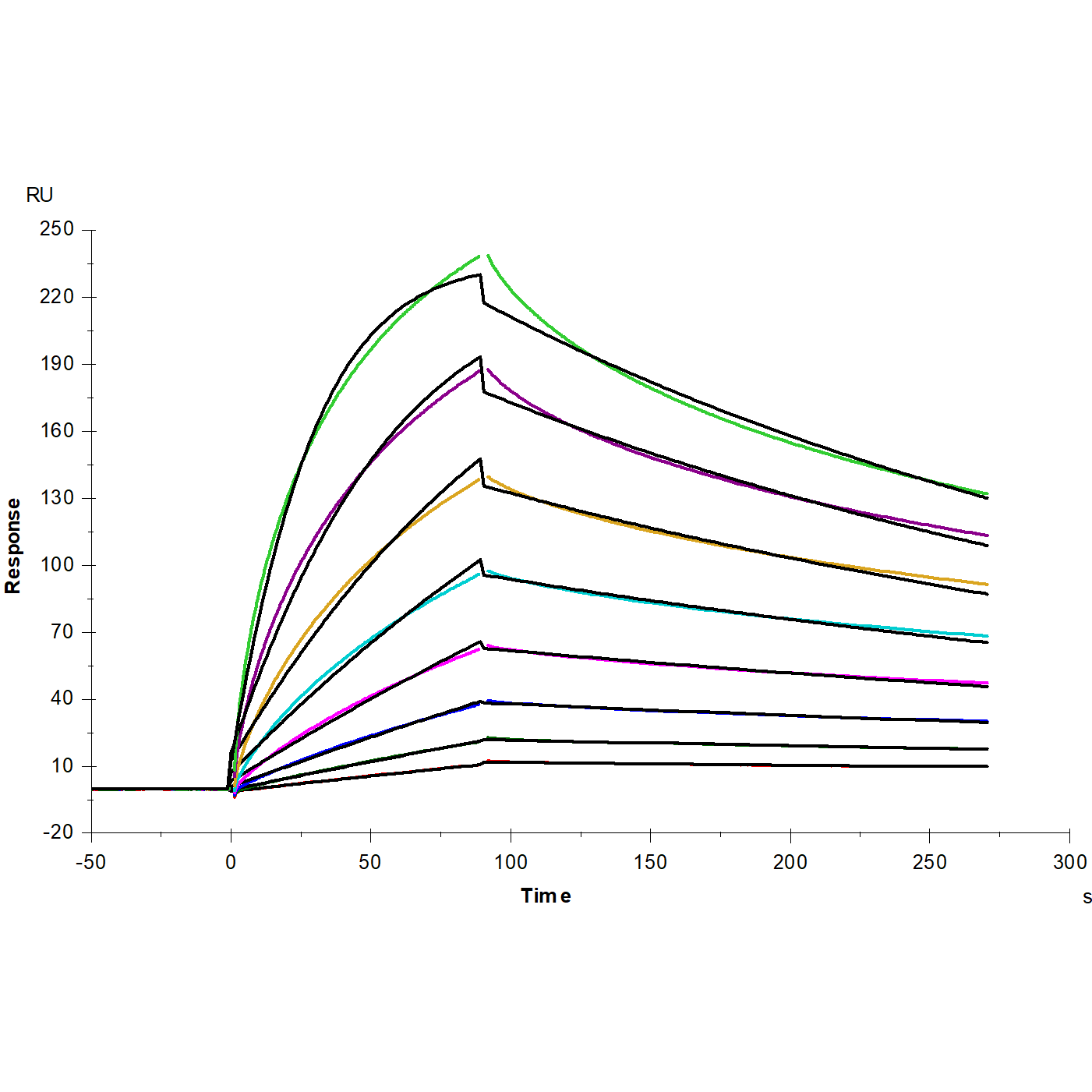
CM5 Chip captured Activin A Protein, Human/Mouse/Rat (Cat. No. UA040343), can bind ACVR2A mFc Chimera, Mouse (Cat. No. UA010201) with an affinity constant of 52.83nM as determined in SPR assay.

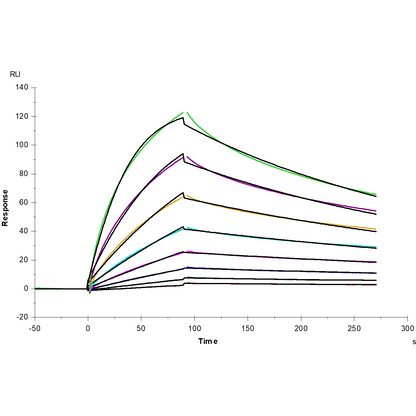
CM5 Chip captured Activin A Protein, Human (Cat. No. UA040178), can bind ACVR2A mFc Chimera, Mouse (Cat. No. UA010201) with an affinity constant of 37.72nM as determined in SPR assay.
