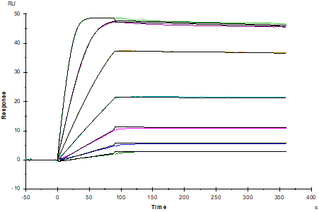
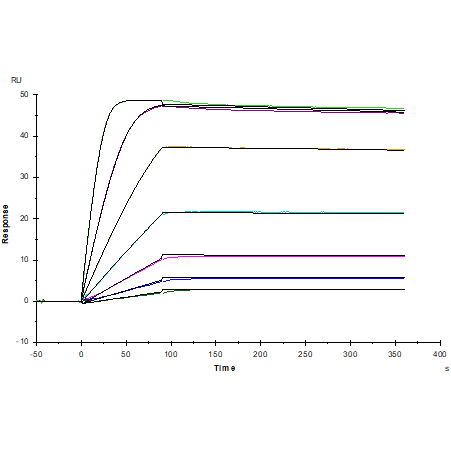
Protein A Chip captured ACVR2A Fc Chimera, Human (Cat. No. UA010196), can bind Recombinant Human/Mouse/Rat Activin A with an affinity constant of 4.70 pM as determined in SPR assay.
Product Details
Product Details
Product Specification
Species | Human |
Antigen | ACVR2A |
Synonyms | ACVR2, ACTRII, activin A receptor, type II |
Accession | P27037 |
Amino Acid Sequence | Ala20-Pro134, with C-hIgG1 Fc |
Expression System | HEK293 |
Molecular Weight | 50-70kDa (Reducing) |
Purity | >95% by SDS-PAGE |
Endotoxin | <0.1EU/μg |
Conjugation | Unconjugated |
Tag | Human Fc Tag |
Physical Appearance | Lyophilized Powder |
Storage Buffer | PBS, pH7.4 |
Reconstitution | Reconstitute at 0.1-1 mg/ml according to the size in ultrapure water after rapid centrifugation. |
Stability & Storage |
· 12 months from date of receipt, lyophilized powder stored at -20 to -80℃. · 3 months, -20 to -80℃ under sterile conditions after reconstitution. · 1 week, 2 to 8℃ under sterile conditions after reconstitution. · Please avoid repeated freeze-thaw cycles. |
Background
ACVR2A (activin A receptor type 2A) belongs to a receptor family that mediates the functions of activins, members of the transforming growth factor-beta (TGF-β) family of ligands with multiple biological functions. The TGF-β signaling pathway is involved in the regulation of cell proliferation, differentiation, migration, and apoptosis of colon cancer. The mutation rate of ACVR2A is approximately 60%, making it the most frequently mutated gene in hypermutated colon cancer. However, the expression profiles of ACVR2A and its biological function in colon cancer tumorigenesis and progression are largely unknown.
Picture
Picture
Bioactivity

SDS-PAGE

ELISA

Immobilized Activin A Protein, Human/Mouse/Rat (Cat. No. UA040343) at 1.0μg/mL (100μL/well) can bind ACVR2A Fc Chimera Protein, Human (Cat. No. UA010196) with EC50 of 1.33-2.08ng/mL.


