1μg (R: reducing condition, N: non-reducing condition).
Product Details
Product Details
Product Specification
Species | Human |
Synonyms | SLAMF4, NKR2B4, NAIL, h2B4 |
Accession | Q9BZW8-2 |
Amino Acid Sequence | Cys22-Arg221, with C-hIgG1 Fc |
Expression System | HEK293 |
Molecular Weight | 65-80kDa (Reducing) |
Purity | >95% by SDS-PAGE |
Endotoxin | <0.1EU/μg |
Conjugation | Unconjugated |
Physical Appearance | Lyophilized Powder |
Storage Buffer | PBS, pH7.4. |
Reconstitution | Reconstitute at 0.1-1 mg/ml according to the size in ultrapure water after rapid centrifugation. |
Stability & Storage | · 12 months from date of receipt, lyophilized powder stored at -20 to -80℃. · 3 months, -20 to -80℃ under sterile conditions after reconstitution. · 1 week, 2 to 8℃ under sterile conditions after reconstitution. · Please avoid repeated freeze-thaw cycles. |
Reference | 1.Bhat, R. et al. (2006) J. Leukoc. Biol. 79:417.2. Veillette, A. (2006) Nat. Rev. Immunol. 6:56.3. McNerney, M.E. et al. (2005) Mol. Immunol. 42:489.4. Assarsson, E. et al. (2005) J. Immunol. 175:2045. |
Background
2B4, also known as CD244 and SLAMF4, is a 66 kDa type I transmembrane glycoprotein in the SLAM subgroup of the CD2 protein family. SLAM family proteins have an extracellular domain (ECD) with two or four Ig-like domains and at least two cytoplasmic immunoreceptor tyrosine-based switch motifs (ITSMs). 2B4 interacts with CD48, while other SLAM family proteins interact homophilically.2B4 is expressed by all NK cells, γδ T cells, basophils, and monocytes as well as a subset of memory-phenotype CD8 αβ T cells. SLAM receptors triggered by homo- or heterotypic cell-cell interactions are modulating the activation and differentiation of a wide variety of immune cells and thus are involved in the regulation and interconnection of both innate and adaptive immune response. Activities are controlled by presence or absence of small cytoplasmic adapter proteins, SH2D1A/SAP and/or SH2D1B/EAT-2.Acts as activating natural killer (NK) cell receptor. Involved in the regulation of CD8+ T-cell proliferation; expression on activated T-cells and binding to CD488 provides costimulatory-like function for neighboring T-cells. Acts as costimulator in NK activation by enhancing signals by other NK receptors such as NCR3 and NCR1.At early stages of NK cell differentiation may function as an inhibitory receptor possibly ensuring the self-tolerance of developing NK cells. Downstreaming signaling involves predominantly VAV1, and, to a lesser degree, INPP5D/SHIP1 and CBL. Signal attenuation in the absence of SH2D1A is proposed to be dependent on INPP5D and to a lesser extent PTPN6/SHP-1 and PTPN11/SHP-2.
Picture
Picture
SDS-PAGE
ELISA

Immobilized CD48 His Tag, Human (Cat. No. UA010595) at 2.0μg/mL (100μL/well) can bind 2B4/CD244 Fc Chimera, Human(Cat. No. UA010890) with EC50 of 36.94-47.14 ng/mL.
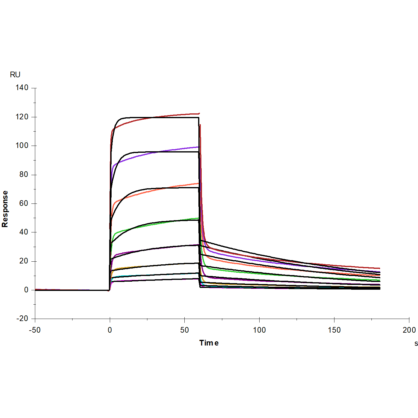
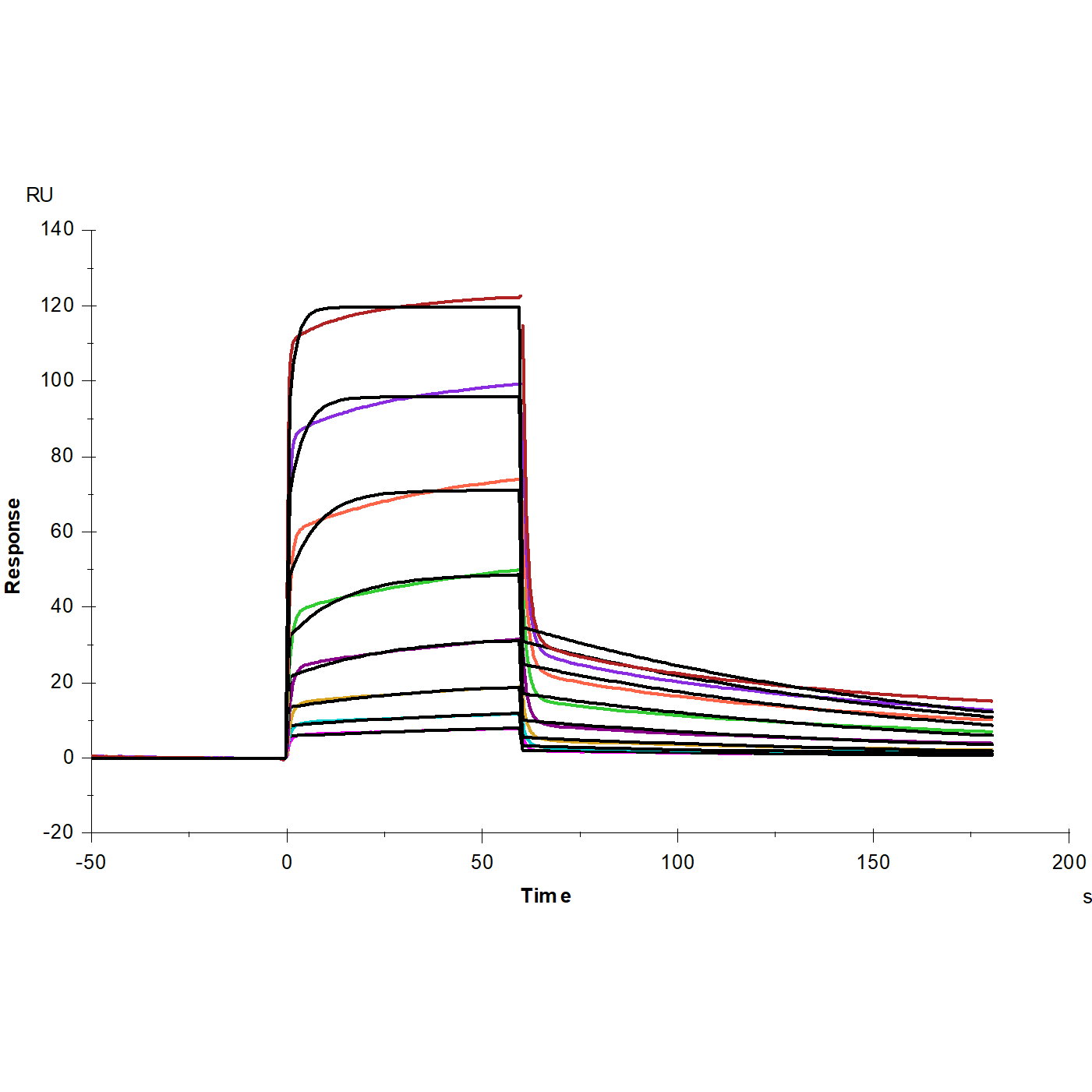
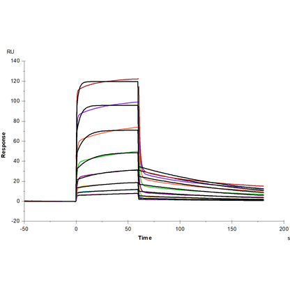
SPR

Protein A Chip captured 2B4/CD244 Fc Chimera, Human (Cat. No. UA010890), can bind CD48 His Tag, Human(Cat. No. UA010595) with an affinity constant of 17.70nM as determined in SPR assay.

