Skip to product information
1 of 2

2B4/CD244 Fc Chimera Protein, Human

2B4/CD244 Fc Chimera Protein, Human

Catalog Number: UA010890 Reactivity: Human Conjugation: Unconjugated Brand: UA BIOSCIENCE
Price:
Regular price $522.00 SGD
Regular price Sale price $522.00 SGD
Size:
For shipping services or bulk orders, you may request a quotation.
Secure checkout with
View full details

Product Details

Product Specification


Species Human
Synonyms SLAMF4, NKR2B4, NAIL, h2B4
Accession Q9BZW8-2
Amino Acid Sequence Cys22-Arg221, with C-hIgG1 Fc
Expression System HEK293
Molecular Weight 65-80kDa (Reducing)
Purity >95% by SDS-PAGE
Endotoxin <0.1EU/μg
Conjugation Unconjugated
Physical Appearance Lyophilized Powder
Storage Buffer PBS, pH7.4.
Reconstitution Reconstitute at 0.1-1 mg/ml according to the size in ultrapure water after rapid centrifugation.
Stability & Storage · 12 months from date of receipt, lyophilized powder stored at -20 to -80℃.
· 3 months, -20 to -80℃ under sterile conditions after reconstitution.
· 1 week, 2 to 8℃ under sterile conditions after reconstitution.
· Please avoid repeated freeze-thaw cycles.
Reference

1.Bhat, R. et al. (2006) J. Leukoc. Biol. 79:417.2. Veillette, A. (2006) Nat. Rev. Immunol. 6:56.3. McNerney, M.E. et al. (2005) Mol. Immunol. 42:489.4. Assarsson, E. et al. (2005) J. Immunol. 175:2045.

Background

2B4, also known as CD244 and SLAMF4, is a 66 kDa type I transmembrane glycoprotein in the SLAM subgroup of the CD2 protein family. SLAM family proteins have an extracellular domain (ECD) with two or four Ig-like domains and at least two cytoplasmic immunoreceptor tyrosine-based switch motifs (ITSMs). 2B4 interacts with CD48, while other SLAM family proteins interact homophilically.2B4 is expressed by all NK cells, γδ T cells, basophils, and monocytes as well as a subset of memory-phenotype CD8 αβ T cells. SLAM receptors triggered by homo- or heterotypic cell-cell interactions are modulating the activation and differentiation of a wide variety of immune cells and thus are involved in the regulation and interconnection of both innate and adaptive immune response. Activities are controlled by presence or absence of small cytoplasmic adapter proteins, SH2D1A/SAP and/or SH2D1B/EAT-2.Acts as activating natural killer (NK) cell receptor. Involved in the regulation of CD8+ T-cell proliferation; expression on activated T-cells and binding to CD488 provides costimulatory-like function for neighboring T-cells. Acts as costimulator in NK activation by enhancing signals by other NK receptors such as NCR3 and NCR1.At early stages of NK cell differentiation may function as an inhibitory receptor possibly ensuring the self-tolerance of developing NK cells. Downstreaming signaling involves predominantly VAV1, and, to a lesser degree, INPP5D/SHIP1 and CBL. Signal attenuation in the absence of SH2D1A is proposed to be dependent on INPP5D and to a lesser extent PTPN6/SHP-1 and PTPN11/SHP-2.

Picture

SDS-PAGE

1μg (R: reducing condition, N: non-reducing condition).

ELISA

Immobilized CD48 His Tag, Human (Cat. No. UA010595) at 2.0μg/mL (100μL/well) can bind 2B4/CD244 Fc Chimera, Human(Cat. No. UA010890) with EC50 of 36.94-47.14 ng/mL.

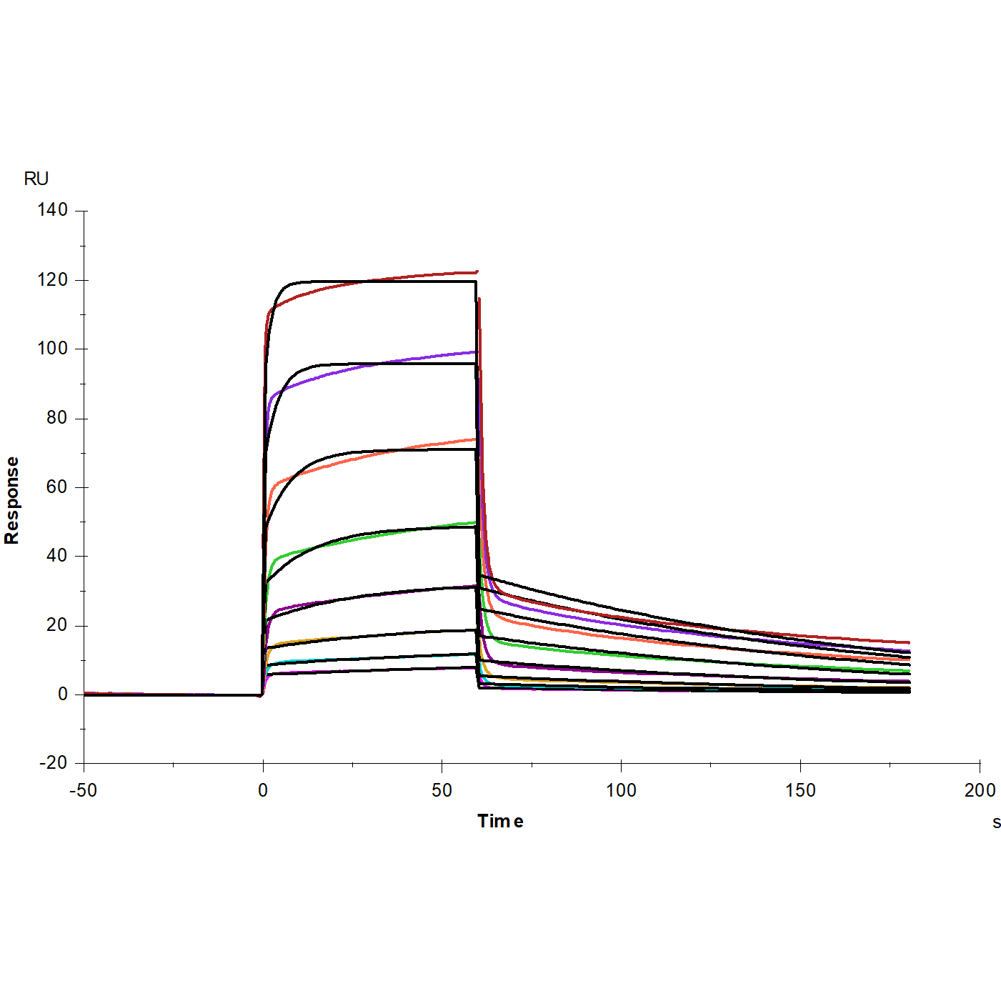
SPR

Protein A Chip captured 2B4/CD244 Fc Chimera, Human (Cat. No. UA010890), can bind CD48 His Tag, Human(Cat. No. UA010595) with an affinity constant of 17.70nM as determined in SPR assay.