Product Details
Product Details
Product Specification
Species | Mouse |
Synonyms | CD64 antigen, CD64, CD64a, Fc fragment of IgG, high affinity Ia, receptor (CD64), Fc gamma RI, FCG1, Fc-gamma receptor I B2, Fc-gamma RI, Fc-gamma RIA, FcgammaRIa, FCGR1, FcgRI, FcgRIA, FCRI, FcRIA, FLJ18345, high affinity Ia, receptor for (CD64), high affinity immunoglobulin gamma Fc receptor I, IgG Fc receptor I |
Accession | P26151-1 |
Amino Acid Sequence | Glu25-Pro297, with C-terminal His |
Expression System | HEK293 |
Molecular Weight | 45-55kDa(Reducing) |
Purity | >95%, by SDS-PAGE under reducing conditions |
Endotoxin | <0.1EU/μg |
Conjugation | Unconjugated |
Tag | His Tag |
Physical Appearance | Lyophilized Powder |
Storage Buffer | PBS, pH7.4 |
Reconstitution | Reconstitute at less than 1 mg/mL according to the size in ultrapure water after rapid centrifugation . |
Stability & Storage | · 12 months from date of receipt, lyophilized powder stored at -20 to -80℃. · 3 months, -20 to -80℃ under sterile conditions after reconstitution. · 1 week, 2 to 8℃ under sterile conditions after reconstitution. · Please avoid repeated freeze-thaw cycles. |
Background
Fc γ RI, also known as CD64, is a complete cell membrane glycoprotein, which transmits activation signals through the related Fc R γ chain, which is usually called Fc-γ RI 1 (Fc γ RI). The high affinity recognition of Fc γ RI to IgG allows it to trigger the effect response at low IgG concentration in the early immune response. After binding to IgG, CD64 interacts with an accessory chain called a common gamma chain, which has the ITAM motif necessary to trigger cells to activate. It is usually constitutively expressed on monocytes and macrophages and can be induced by neutrophils and eosinophils. Its expression is up-regulated in bacterial infections and sepsis. This product is produced by recombinant expression of mouse Fc γ RI from HEK293 cell line, which is purified, sterilized, filtered, packaged and freeze-dried.
Picture
Picture
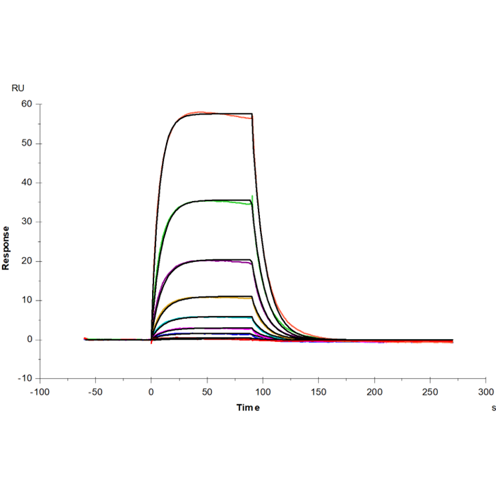
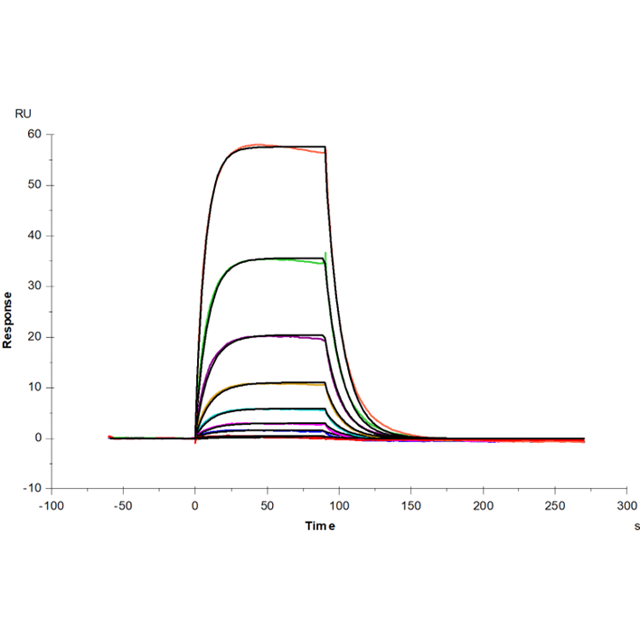
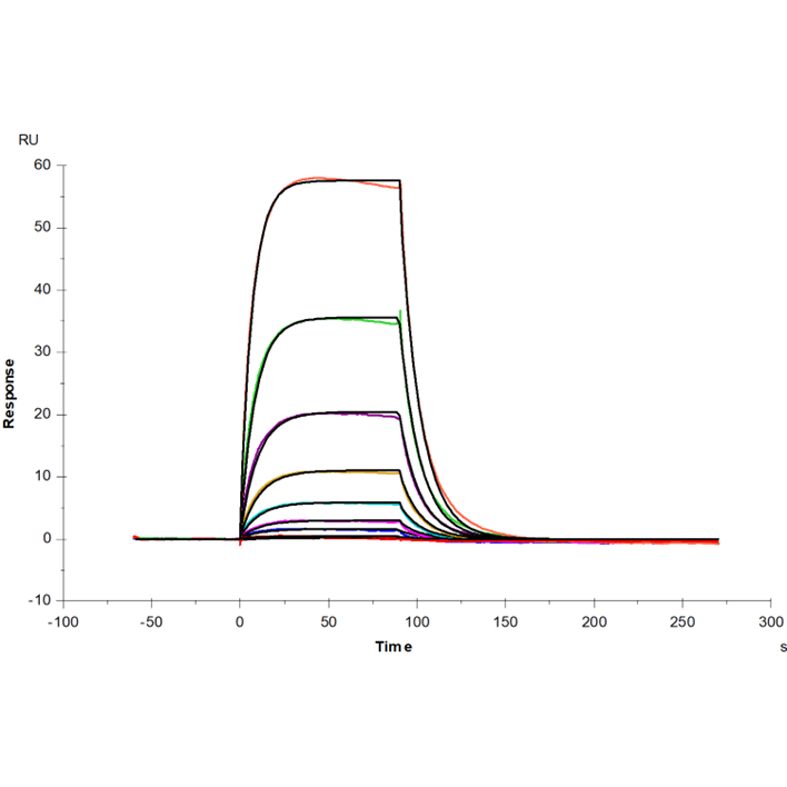
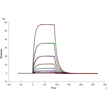
Bioactivity


SDS-PAGE



