2μg (R: reducing condition, N: non-reducing condition).
Product Details
Product Details
Product Specification
| Species | Human |
| Synonyms | ADORA2A, adenosine A2a receptor, A2aR, ADORA2, RDC8 |
| Accession | P29274 |
| Concentration | 0.24mg/ml by Nanodrop |
| Amino Acid Sequence | Full length with nine mutations, and Flag-His-EGFP- Twinstrep tag at C-Terminal |
| Expression System | HEK293 |
| Molecular Weight | 55-75kDa (Reducing) |
| Purity | >90% by SDS-PAGE |
| Endotoxin | <0.1EU/μg |
| Conjugation | Unconjugated |
| Tags & Cleavage sites | 3C |
| Tag | His Tag, Flag Tag, EGFP, Twinstrep Tag |
| Physical Appearance | Liquid with detergent |
| Storage Buffer | 10 mM HEPES, pH 8.0, 100 mM NaCl, 0.05 % DDM,0.01%CHS |
| Stability & Storage | ·6 months from date of receipt, -60 to -80 °C as supplied. |
| Reference | 1. Lebon G, Warne T, Edwards P C, et al. Agonist-bound adenosine A2A receptor structures reveal common features of GPCR activation[J]. Nature, 2011, 474(7352): 521-525. |
Background
The Adenosine Receptor A2AR (ADORA2A) is a member of the G protein-coupled receptor (GPCR) superfamily. GPCRs are seven-transmembrane proteins that transduce extracellular signals into intracellular responses. A2AR binds adenosine as its endogenous agonist and interacts with Gs and Golf proteins to increase intracellular cAMP levels. This receptor plays crucial roles in cardiac rhythm, cerebral and renal blood flow, immune function, pain modulation, and sleep regulation. It is also associated with pathophysiological conditions such as inflammatory diseases and neurodegenerative disorders. The A2AR receptor is a key player in multiple physiological processes and holds significant potential as a therapeutic target. The biotinylated A2AR protein product may enhance drug discovery efforts.
Picture
Picture
SDS-PAGE
ELISA
Immobilized ADORA2A (with nine mutations) Flag-His-EGFP-strep tag Protein, Human (Detergent) (Cat. No. UA060006) at 5 μg/mL (100 μL/well) on a Nickel Coated plate can bind Mouse Anti-ADORA2A with EC50 of 1.89-4.07ng/mL.
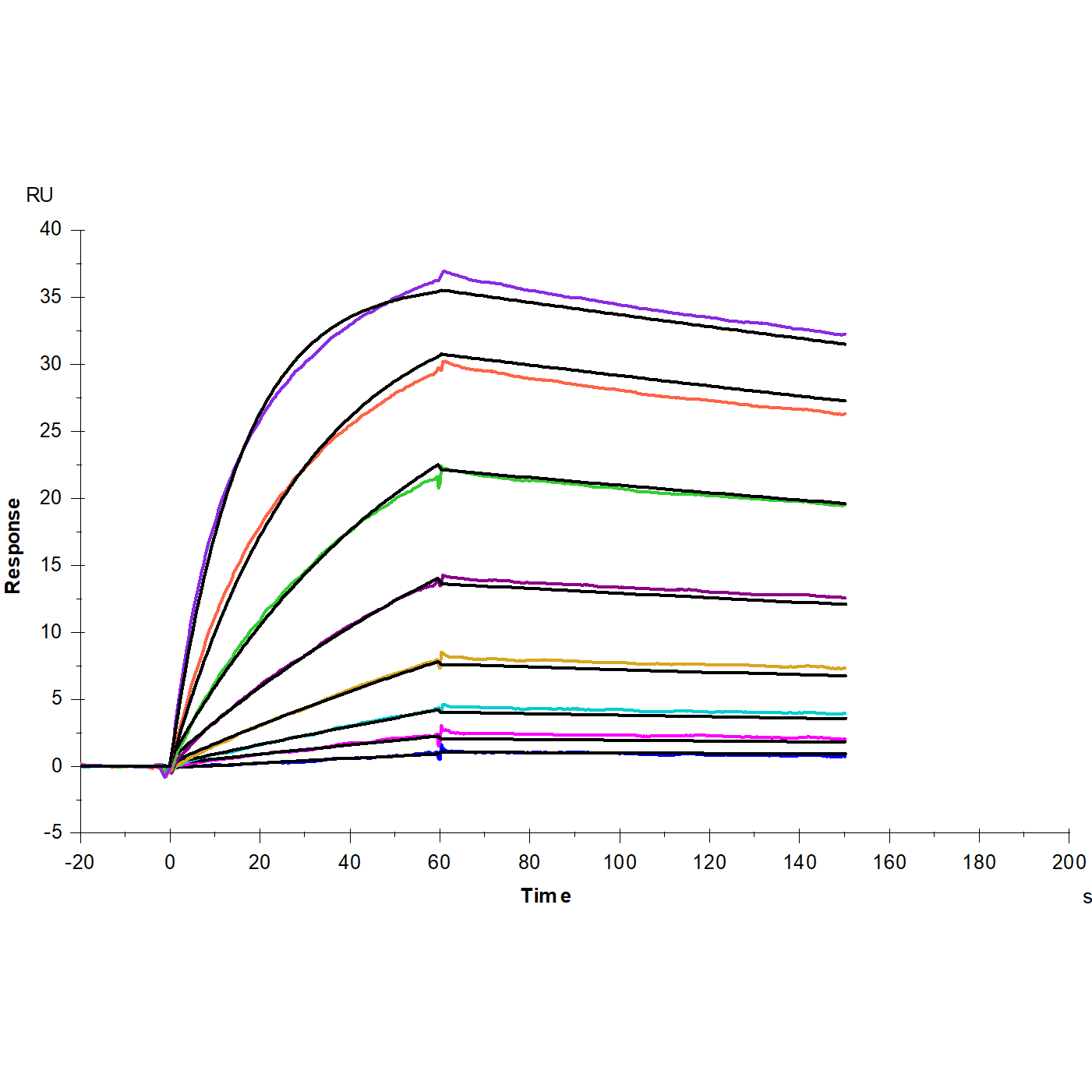
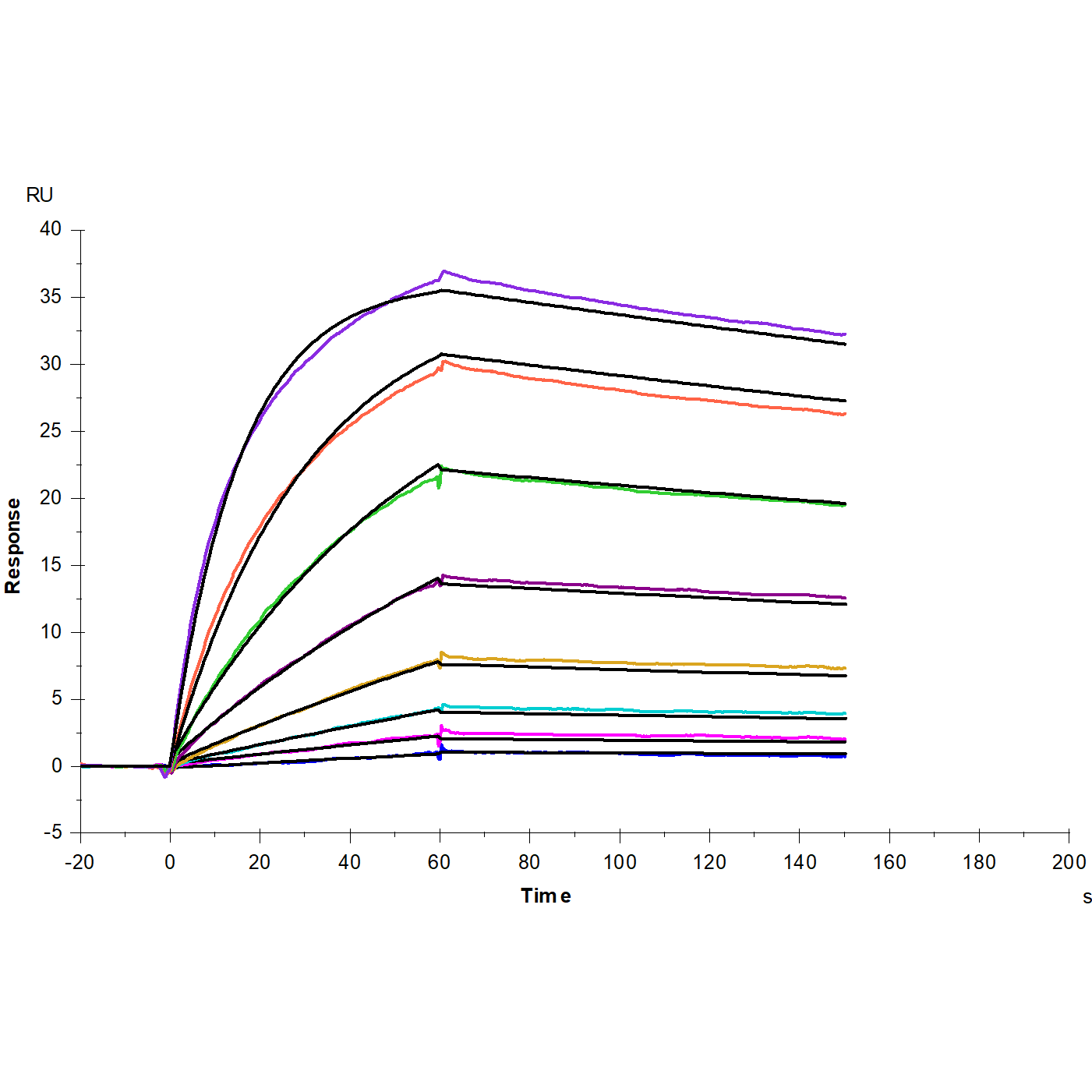
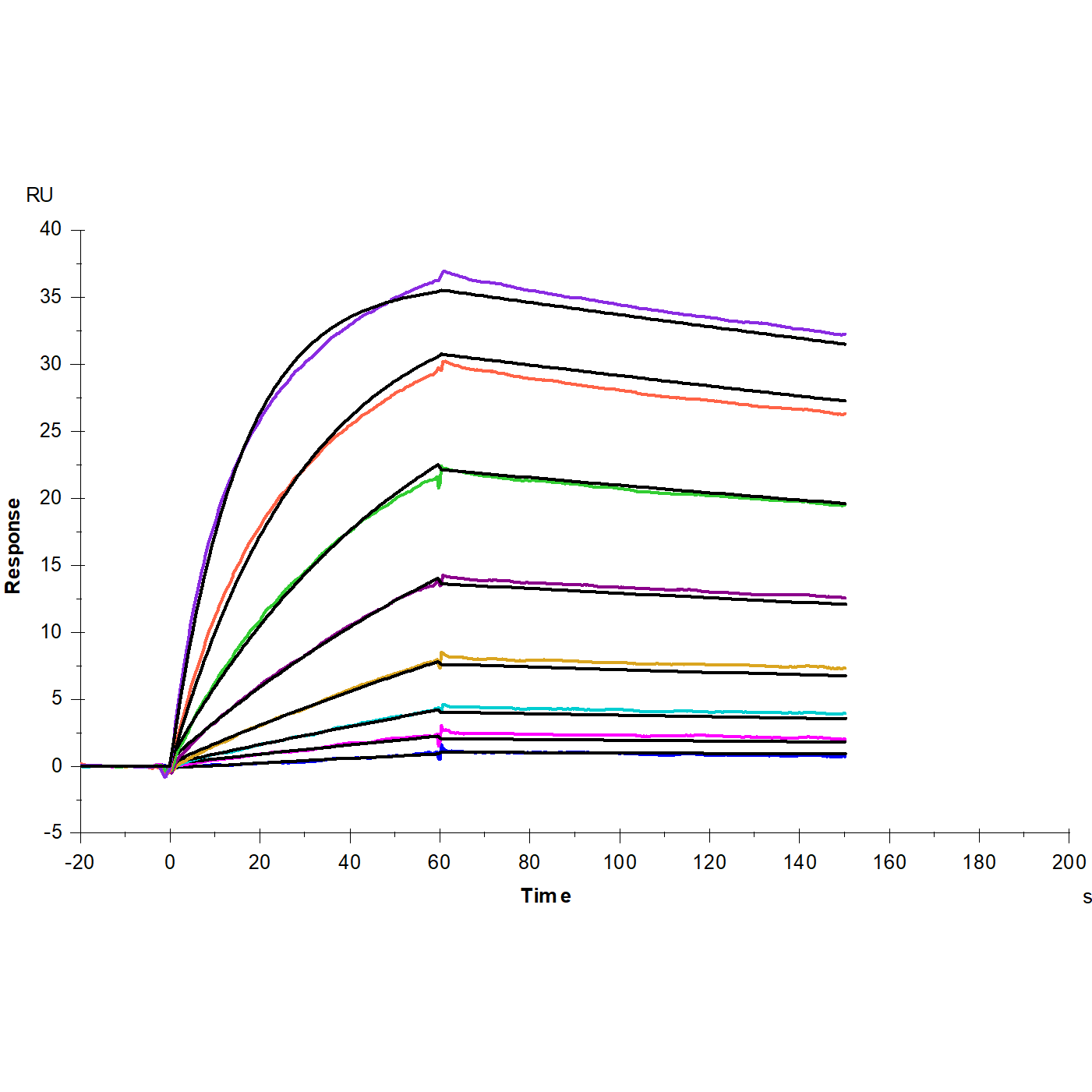
SPR

Anti-His antibody Immobilized on CM5 Chip captured ADORA2A (with nine mutations) Flag-His-EGFP-strep tag Protein, Human (Detergent) (Cat. No. UA060006), can bind Mouse Anti-ADORA2A with an affinity constant of 2.62nM as determined in SPR assay.
