1μg (R: reducing condition, N: non-reducing condition).
Product Details
Product Details
Product Specification
Species | Mouse |
Synonyms | T-cell antigen ILA; ILA; 4-1BB Ligand Receptor; CD137 Antigen; CDw137; CD137; Interleukin-Activated Receptor; Homolog Of Mouse Ly63; Tumor Necrosis Factor Receptor Superfamily; Member 9; Homolog Of Mouse 4-1BB; Receptor Protein 4-1BB; T Cell Antigen ILA |
Accession | P20334 |
Amino Acid Sequence | Val24-Leu187, with C-terminal hIgG Fc |
Expression System | HEK293 |
Molecular Weight | 53-63kDa (Reducing) |
Purity | >95% by SDS-PAGE |
Endotoxin | <0.1EU/μg |
Conjugation | Unconjugated |
Tag | Human Fc Tag |
Physical Appearance | Lyophilized Powder |
Storage Buffer | PBS, pH7.4. |
Reconstitution | Reconstitute at 0.1-1 mg/ml according to the size in ultrapure water after rapid centrifugation. |
Stability & Storage | · 12 months from date of receipt, lyophilized powder stored at -20 to -80℃. · 3 months, -20 to -80℃ under sterile conditions after reconstitution. · 1 week, 2 to 8℃ under sterile conditions after reconstitution. · Please avoid repeated freeze-thaw cycles. |
Reference | Melero I, et al. (2008) Multi-layered action mechanisms of CD137 (4-1BB)-targeted immunotherapies. Trends Pharmacol Sci. 29(8): 383-90. 2. Thum E, et al. (2009) CD137, implications in immunity and potential for therapy. Front Biosci. 14: 4173-88. |
Background
CD137 (also known as 4-1BB) is a surface co-stimulatory glycoprotein originally described as present on activated T lymphocytes, which belongs to the tumor necrosis factor (TNF) receptor superfamily. CD137 can be expressed by activated T cells, but to a larger extent on CD8 than on CD4 T cells. In addition, CD137 and CD137L are expressed in different human primary tumor tissues, suggesting that they may influence the progression of tumors. The best characterized activity of CD137 is its costimulatory activity for activated T cells.
Picture
Picture
SDS-PAGE
ELISA

Immobilized 4-1BB Ligand/TNFSF9 His Tag, Rat (Cat. No. UA010859) at 2.0μg/mL (100μL/well) can bind 4-1BB/TNFRSF9 Fc Chimera, Mouse(Cat. No. UA010800) with EC50 of 1.97-2.67ng/mL.

Immobilized 4-1BB Ligand TNFSF9 His tag Protein,Mouse at 2.0μg/mL (100μL/well) can bind 4-1BB/TNFRSF9 Fc Chimera Protein, Mouse(Cat. No. UA010800) with EC50 of 1.79-2.13ng/mL.
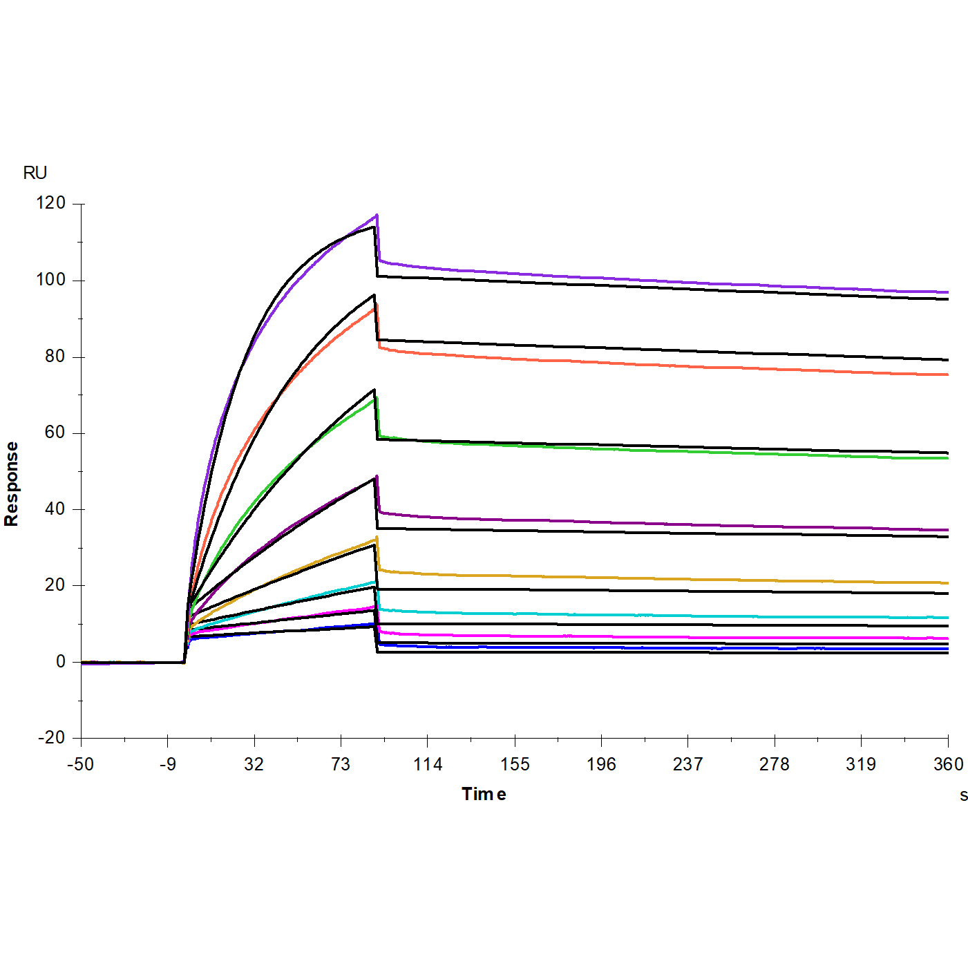
SPR

Protein A Chip captured 4-1BB/TNFRSF9 Fc Chimera, Mouse (Cat. No. UA010800), can bind 4-1BB Ligand/TNFSF9 His Tag, Rat (Cat. No. UA010859) with an affinity constant of 1.60nM as determined in SPR assay.


