Immobilized 4-1BB Ligand/TNFSF9 His Tag, Rat (Cat. No. UA010859) at 2.0μg/mL (100μL/well) can bind 4-1BB/TNFRSF9 Fc Chimera, Mouse(Cat. No. UA010800) with EC50 of 1.97-2.67ng/mL.
Product Details
Product Details
Product Specification
Species | Rat |
Synonyms | 4-1BB Ligand, TNFSF9, CD137L |
Accession | Q80WE6 |
Amino Acid Sequence | Pro106-Gly308, with N-terminal His |
Expression System | HEK293 |
Molecular Weight | 30-42kDa (Reducing) |
Purity | >95% by SDS-PAGE&HPLC |
Endotoxin | <0.1EU/μg |
Conjugation | Unconjugated |
Tag | His Tag |
Physical Appearance | Lyophilized Powder |
Storage Buffer | PBS, pH7.4. |
Reconstitution | Reconstitute at 0.1-1 mg/ml according to the size in ultrapure water after rapid centrifugation. |
Stability & Storage | · 12 months from date of receipt, lyophilized powder stored at -20 to -80℃. · 3 months, -20 to -80℃ under sterile conditions after reconstitution. · 1 week, 2 to 8℃ under sterile conditions after reconstitution. · Please avoid repeated freeze-thaw cycles. |
Reference | 1.Cancer Res.2019 Feb 15;79(4):783-794. |
Background
The 4-1BB ligand (4-1BBL), also known as CD137L, is a type II transmembrane protein that is part of the TNF superfamily. 4-1BBL is the high affinity ligand of 4-1BB. Its receptor, CD137/4-1BB, is found on a variety of cells, including inflamed endothelial cells, where its expression enhances extravasation of CD137L expressing monocytes. 4-1BB Ligand is expressed by activated B cells, monocytes, macrophages, dendritic cells (DC), T cells, lymphoma and multiple myeloma cells, hematopoietic stem cells, early myeloid progenitors, neurons, and astrocytes. 4-1BBL induces the proliferation of activated peripheral blood T-cells. Also, 4-1BBL may have a role in activation-induced cell death (AICD).
Picture
Picture
Bioactivity

SDS-PAGE
1μg (R: reducing condition, N: non-reducing condition).
SEC-HPLC

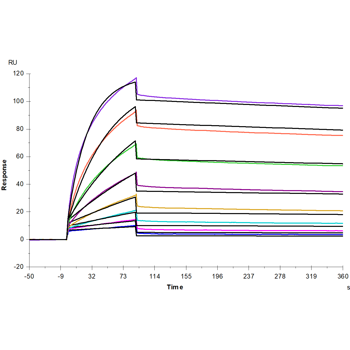
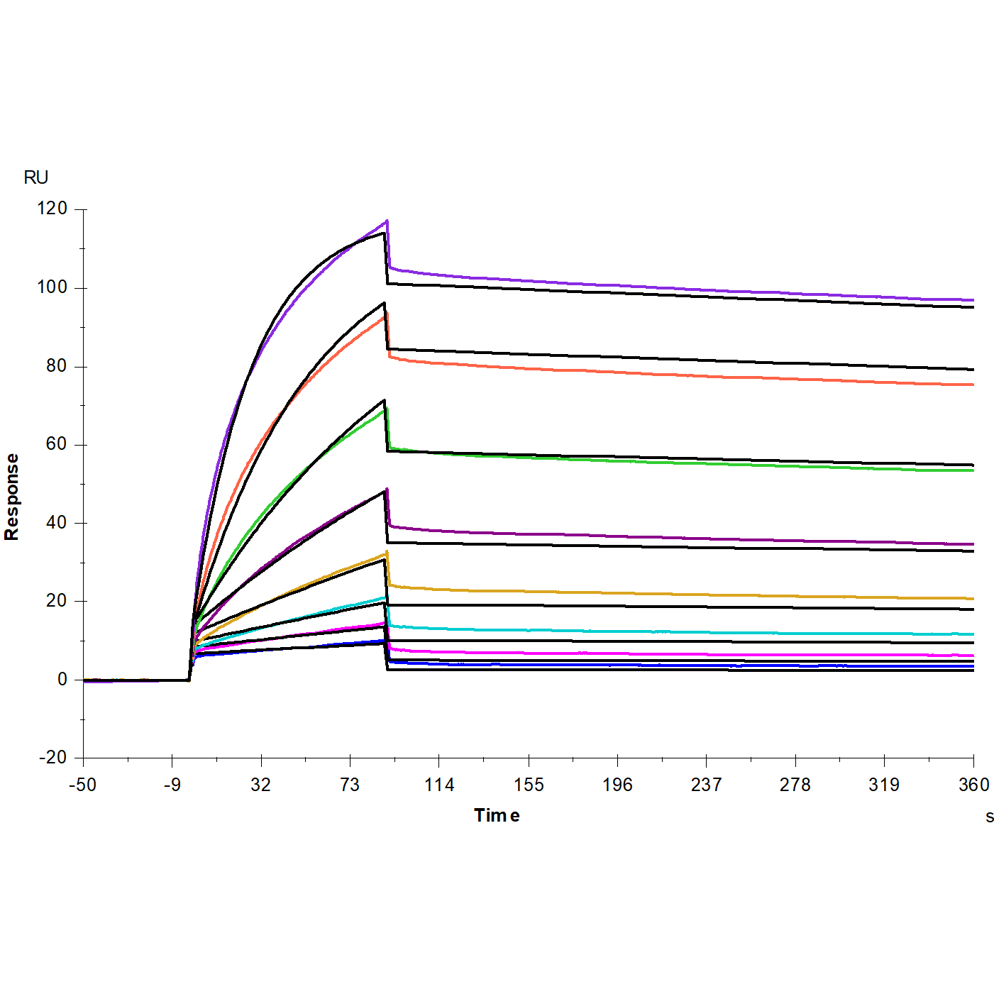
SPR

Protein A Chip captured 4-1BB/TNFRSF9 Fc Chimera, Mouse (Cat. No. UA010800), can bind 4-1BB Ligand/TNFSF9 His Tag, Rat (Cat. No. UA010859) with an affinity constant of 1.60nM as determined in SPR assay.


